Research on the Dynamic Contact Angle Model for the Droplet Impact Process
- 
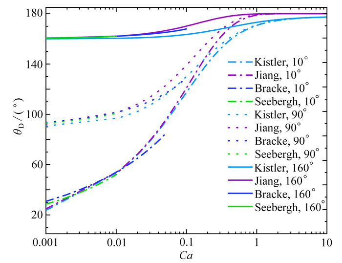
					    摘要: 基于计算流体力学(CFD)模拟液滴冲击壁面,对于理解液滴在固体壁面铺展的动力学行为有重要的意义,可以为超疏水结构设计及防除冰涂层开发提供技术支撑,其中的难点在于如何在模型中准确刻画接触线及动态接触角的演化过程. 总结了四种典型的动态接触角模型,从理论上分析了其应用范围,借助FLUENT中的UDF功能,将动态接触角模型应用于壁面边界条件. 首先对液滴冲击光滑壁面的动力学过程进行了数值模拟研究,通过定量分析液滴形态的各项参数变化并与实验结果对比表明,Seebergh动态接触角模型更适用于模拟低毛细数下液滴的运动,Kistler模型与Jiang模型应用范围更广并且可以较准确地描述高毛细数下液滴的运动. 随后基于Kistler动态接触角模型,对液滴在微结构表面的冲击与铺展过程进行了仿真研究,发现应用动态接触角模型会导致液滴内部流场在表面张力起主导作用的阶段内发生变化,并且在平衡状态下液滴接触角的模拟值与理论值相近.Abstract: The simulation of droplet-wall impact process based on computational fluid dynamics (CFD) is of great significance for understanding the dynamic behavior of droplets spreading on the solid wall, and can provide technical support for the design of superhydrophobic structures and the development of anti-icing coating. The difficulty lies in how to accurately describe the evolution process of the contact line and the dynamic contact angle in the model. Herein, 4 typical dynamic contact angle models were summarized, and their application ranges were analyzed theoretically. With the UDF function in FLUENT the dynamic contact angle model was applied to the wall boundary conditions, and the dynamic process of droplet impact on smooth wall was numerically simulated. The quantitative analysis of the changes of droplet shape parameters and the comparison with the experimental results show that, the Seebergh dynamic contact angle model is more suitable for simulating the motion of droplets with lower capillary numbers. The Kistler model and the Jiang model are more widely used and can accurately describe the motions of droplets with higher capillary numbers. Then, based on the Kistler dynamic contact angle model, the impact and spreading processes of droplets on the microstructure surface were simulated. It is found that, the application of the dynamic contact angle model will lead to the change of the internal flow fields of droplets with the surface tension playing a dominant role, and the simulated droplet contact angle value in equilibrium is close to the theoretical value.
- 
						
    
表 1 计算工况 Table 1. Calculation conditions condition wall liquid diameter D0/mm impact velocity v/(m/s) contact angle θ/(°) We Re Ca 1 plane water 2.45 1.64 105,95 90.0 4 010 0.023 2 glycerol 2.45 1.41 97,90 94.0 36 2.590 3 water 2.47 0.21 63.4 1.5 523 0.003 4 water 2.47 0.21 100 1.5 523 0.003 5 water 2.47 0.21 160 1.5 523 0.003 6 glycerol 2.45 1.41 17,13 94.0 36 2.590 7 glycerol 2.45 1.41 160 94.0 36 2.590 8 micro structure water 2.00 1.00 165,155 27.0 2 000 0.014 8 water 2.00 0.50 165,155 13.5 1 000 0.007 10 water 2.00 1.00 95,85 27.0 2 000 0.014 11 water 2.90 0.34 165,155 4.7 984 0.005 
- 
						[1] ZHU Y T, WANG Z L L, LIU X L, et al. Anti-icing/de-icing mechanism and application progress of bio-inspired surface for aircraft[J]. Transactions of Nanjing University of Aeronautics and Astronautics, 39(5): 542-554. [2] 林贵平, 卜雪琴, 申晓斌, 等. 飞机结冰与防冰技术[M]. 北京: 北京航空航天大学出版社, 2016.LIN Guiping, BU Xueqin, SHEN Xiaobin, et al. Aircraft Icing and Anti-icing Technology[M]. Beijing: Beihang University Press, 2016. (in Chinese) [3] 张旋. 过冷水滴的结冰与碰撞及其耦合特性研究[D]. 北京: 清华大学, 2019.ZHANG Xuan. Research on freezing and impact processes of supercooled water droplet and their coupling characteristics[D]. Beijing: Tsinghua University, 2019. (in Chinese) [4] 王凯宇, 庞祥龙, 李晓光. 超疏水表面液滴的振动特性及其与液滴体积的关系[J]. 物理学报, 2021, 70(7): 076801.WANG Kaiyu, PANG Xianglong, LI Xiaoguang. Oscillation properties of water droplets on a superhydrophobic surface and their correlations with droplet volume[J]. Acta Physica Sinica, 2021, 70(7): 076801. (in Chinese) [5] PANG X L, DUAN M, LIU H, et al. Oscillation-induced mixing advances the functionality of liquid marble microreactors[J]. ACS Applied Materials & Interfaces, 2022, 14: 11999. [6] 严裕, 娄钦, 陈家豪. 双液滴在具有接触角滞后性微通道内的运动行为研究[J]. 应用数学和力学, 2023, 44(3): 304-318. doi: 10.21656/1000-0887.430165YAN Yu, LOU Qin, CHEN Jiahao. Lattice Boltzmann study on the motion of dual droplets in microchannels with contact angle hysteresis[J]. Applied Mathematics and Mechanics, 2023, 44(3): 304-318. (in Chinese) doi: 10.21656/1000-0887.430165 [7] 焦云龙, 刘小君, 逄明华, 等. 液滴平壁铺展过程中的滞后效应及力学机制研究[J]. 应用数学和力学, 2016, 37(1): 14-26. doi: 10.3879/j.issn.1000-0887.2016.01.002JIAO Yunlong, LIU Xiaojun, PANG Minghua, et al. Study of contact angle hysteresis at moving contact lines based on CFD simulation and mechanical analysis[J]. Applied Mathematics and Mechanics, 2016, 37(1): 14-26. (in Chinese) doi: 10.3879/j.issn.1000-0887.2016.01.002 [8] LI X G, WANG Y Q, YANG Y, et al. Dynamic behavior of droplets under interfacial jamming of nanoparticles[J]. Applied Physics Letters, 2018, 113: 133702. doi: 10.1063/1.5045775 [9] MOHAMMAD K A, SUSZYNSKI W J. Physics of dynamic contact line: hydrodynamics theory versus molecular kinetic theory[J]. Fluids, 2022, 7(10): 1-19. [10] GANESAN S. On the dynamic contact angle in simulation of impinging droplets with sharp interface methods[J]. Microfluidics and Nanofluidics, 2013, 14(3/4): 615-625. [11] YOUNG T. An essay on the cohesion of fluids[J]. Philosophical Transactions of the Royal Society of London, 1805, 95: 65-87. doi: 10.1098/rstl.1805.0005 [12] HOFFMAN R L. A study of the advancing interface[J]. Journal of Colloid and Interface Science, 1975, 50(2): 228-241. doi: 10.1016/0021-9797(75)90225-8 [13] VOINOV O V. Hydrodynamics of wetting[J]. Fluid Dynamics, 1977, 11(5): 714-721. doi: 10.1007/BF01012963 [14] JIANG T S, SOO-GUN O H, SLATTERY J C. Correlation for dynamic contact angle[J]. Journal of Colloid and Interface Science, 1979, 69(1): 74-77. doi: 10.1016/0021-9797(79)90081-X [15] BRACKE M, DE VOEGHT F, JOOS P. The kinetics of wetting: the dynamic contact angle[J]. Progress in Colloid & Polymer Science, 1989, 79: 142-149. [16] SEEBERGH J E, BERG J C. Dynamic wetting in the low capillary number regime[J]. Chemical Engineering Science, 1992, 47(17/18): 4455-4464. [17] BLAKE T D, BRACKE M, SHIKHMURZAEV Y D. Experimental evidence of nonlocal hydrodynamic influence on the dynamic contact angle[J]. Physics of Fluids, 1999, 11(8): 1995-2007. [18] COX R G. The dynamics of the spreading of liquids on a solid surface, part 1: viscous flow[J]. Journal of Fluid Mechanics, 1986, 168: 169-194. [19] ŠIKALO Š, WILHELM H D, ROISMAN I V, et al. Dynamic contact angle of spreading droplets: experiments and simulations[J]. Physics of Fluids, 2005, 17(6): 062103. [20] XIE P, DING H B, INGHAM D B, et al. Analysis and prediction of the gas-liquid interfacial area for droplets impact on solid surfaces[J]. Applied Thermal Engineering, 2020, 178: 115583. [21] WENZEL R N. Resistance of solid surface to wetting by water[J]. Industrial & Engineering Chemistry, 1936, 28(8): 988-994. [22] CASSIE A B D, BAXTER S. Wettability of porous surfaces[J]. Transactions of the Faraday Society, 1944, 40(10): 546-551. [23] TUTEJA A, CHOI W, MA M L, et al. Designing superoleophobic surfaces[J]. Science, 2007, 318(5856): 1618-1622. [24] LIU Y H, MOEVIUS L, XU X P, et al. Pancake bouncing on superhydrophobic surfaces[J]. Nature Physics, 2014, 10: 515-519. [25] MOEVIUS L, LIU Y H, WANG Z K, et al. Pancake bouncing: simulations and theory and experimental verification[J]. Langmuir, 2014, 30: 13021-13032. [26] DU J Y, WANG X, LI Y Z, et al. Maximum spreading of liquid droplets impact on concentric ring-textured surfaces: theoretical analysis and numerical simulation[J]. Colloids and Surfaces A: Physicochemical and Engineering Aspects, 2021, 630: 127647. [27] YANG C J, CAO W R, YANG Z. Study on dynamic behavior of water droplet impacting on super-hydrophobic surface with micro-pillar structures by VOF method[J]. Colloids and Surfaces A: Physicochemical and Engineering Aspects, 2021, 630: 127634. [28] HIRT C W, NICHOLS B D. Volume of fluid (VOF) method for the dynamics of free boundaries[J]. Journal of Computational Physics, 1981, 39(1): 201-225. [29] BRACKBILL J U, KOTHE D B, ZEMACH C. A continuum method for modeling surface tension[J]. Journal of Computational Physics, 1992, 100(2): 335-354. [30] ŠIKALO Š, MARENGO M, TROPEA C, et al. Analysis of impact of droplets on horizontal surfaces[J]. Experimental Thermal and Fluid Science, 2002, 25(7): 503-510. [31] CHEN B, ZHANG Y H, DAI Z F, et al. Experimental research on the dynamics of a train of droplets impacting, from droplets to liquid film, continuity and inheritance[J]. Energy, 2022, 256: 124670. [32] 章振宇, 张宸玮, 张鹏. 小韦伯数下液滴撞击光滑壁面的数值模拟[J]. 工程热物理学报, 2021, 42(12): 3296-3303.ZHANG Zhenyu, ZHANG Chenwei, ZHANG Peng. Numerical simulation of droplet impacting on free slip wall under small Weber number[J]. Journal of Engineering Thermophysics, 2021, 42(12): 3296-3303. (in Chinese) 
- 
						
						  
 
                 
  
							 
							 下载:
下载: 
				 
							 
							 
							 
							 
							 
							 
							 
							 
							 
							 
							 
							 
							 
							 
							 
							 
							 
												 
										 渝公网安备50010802005915号
渝公网安备50010802005915号