Volume 46 Issue 9
Sep.  2025
Turn off MathJax
Article Contents
XIE Wenjie, XIE Jianjian, LIU Huanwen. Zero Reflections of Linear Water Waves Crossing a Finite Periodic Array of Quasi-Idealized Artificial Bars[J]. Applied Mathematics and Mechanics, 2025, 46(9): 1176-1195. doi: 10.21656/1000-0887.450148
Citation: XIE Wenjie, XIE Jianjian, LIU Huanwen. Zero Reflections of Linear Water Waves Crossing a Finite Periodic Array of Quasi-Idealized Artificial Bars[J]. Applied Mathematics and Mechanics, 2025, 46(9): 1176-1195. doi: 10.21656/1000-0887.450148

Zero Reflections of Linear Water Waves Crossing a Finite Periodic Array of Quasi-Idealized Artificial Bars

doi: 10.21656/1000-0887.450148
  • Received Date: 2024-05-20
  • Rev Recd Date: 2025-06-12
  • Publish Date: 2025-09-01
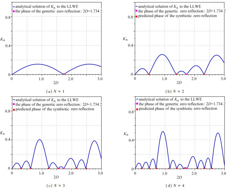
  • The zero reflection of linear water waves when they pass over a finite periodic array of quasi-idealized bars of degree p on a flat seabed is studied. The so-called quasi-idealized bar of degree p refers to the water depth function above the bar is a constant plus a monomial of degree p, where p is a positive integer. The results show that, when water waves crossing a periodic array of quasi-idealized bars of degree 1 (i.e., triangular bars) with the relative bar height with respect to the water depth being much less than 1, the condition for the generation of genetic zero reflection is that the bar width is exactly a positive even multiple the half wavelength of the incident wave. As p increases, the phase of the genetic zero reflection shifts towards lower frequencies. When p approaches infinity, the quasi-idealized bars of degree p tend to be a rectangular bar, and the condition for genetic zero reflection is that the bar width decreases to a positive integer multiple of the half wavelength of the incident wave. In addition, the total number of symbiotic zero reflections between any adjacent Bragg resonance peaks is N-1, and the excitation condition for these zero reflections is that the ratio of the bar spacing to the half wavelength of the incident wave is exactly N-1 zero points of the Chebyshev polynomial of the second kind, UN-1(cos(πx)). If the relative bar height with respect to the water depth is not very small, the total number of symbiotic zero reflections between adjacent Bragg resonance peaks is still N-1, and the phases of these zero reflections are approximately equal to the N-1 zero points of UN-1(cos(πx)) minus the mean of the phase shift of the two adjacent resonance peaks, where the latter can be estimated by the modified Bragg's law. However, at present there is no effective method to predict the phase of the genetic zero reflection. Undoubtedly, this study enriches the understanding of the Bragg resonance reflection induced by periodically arranged artificial sandbars on the seabed, and has potential application values in coastal protection and wave energy extraction.

  • (Contributed by LIU Huanwen, M.AMM Editorial Board)
  • loading
  • [1]
    NEWMAN J N. Propagation of water waves past long two-dimensional obstacles[J]. Journal of Fluid Mechanics, 1965, 23(1): 23. doi: 10.1017/S0022112065001210
    [2]
    MEI C C, BLACK J L. Scattering of surface waves by rectangular obstacles in waters of finite depth[J]. Journal of Fluid Mechanics, 1969, 38: 499-511. doi: 10.1017/S0022112069000309
    [3]
    MEI C C. The Applied Dynamics of Ocean Surface Waves[M]. World Scientific, 1989.
    [4]
    LIN P, LIU H W. Analytical study of linear long-wave reflection by a two-dimensional obstacle of general trapezoidal shape[J]. Journal of Engineering Mechanics, 2005, 131: 822-830.
    [5]
    XIE J J, LIU H W, LIN P. Analytical solution for long-wave reflection by a rectangular obstacle with two scour trenches[J]. Journal of Engineering Mechanics, 2011, 137(12): 919-930. doi: 10.1061/(ASCE)EM.1943-7889.0000293
    [6]
    LIU H W, LUO J X, LIN P, et al. Analytical solution for long-wave reflection by a general breakwater or trench with curvilinear slopes[J]. Journal of Engineering Mechanics, 2013, 139(2): 229-245. doi: 10.1061/(ASCE)EM.1943-7889.0000483
    [7]
    CHAKRABORTY R, MANDAL B N. Water wave scattering by a rectangular trench[J]. Journal of Engineering Mathematics, 2014, 89(1): 101-112. doi: 10.1007/s10665-014-9705-6
    [8]
    MEDINA-RODRÍGUEZ A, BAUTISTA E, MÉNDEZ F. Asymptotic analysis of the interaction between linear long waves and a submerged floating breakwater of wavy surfaces[J]. Applied Ocean Research, 2016, 59: 345-365. doi: 10.1016/j.apor.2016.06.002
    [9]
    KAR P, KOLEY S, SAHOO T. Scattering of surface gravity waves over a pair of trenches[J]. Applied Mathematical Modelling, 2018, 62: 303-320. doi: 10.1016/j.apm.2018.06.002
    [10]
    KAUR A, MARTHA S C, CHAKRABARTI A. Solution of the problem of propagation of water waves over a pair of asymmetrical rectangular trenches[J]. Applied Ocean Research, 2019, 93: 101946. doi: 10.1016/j.apor.2019.101946
    [11]
    GOYAL D, MARTHA S C. Optimal allocation of multiple rigid bars with unequal draft to enhance Bragg reflection of surface gravity waves[J/OL]. Ships Offshore Structures, 2025[2025-06-12]. https://doi.org/10.1080/17445302.2025.2468001.
    [12]
    BRAGG W H, BRAGG W L. The reflection of X-rays by crystal[J]. Mathematical, Physical and Engineering Sciences, 1913, 88: 428-438.
    [13]
    DAVIES A G. The reflection of wave energy by undulations on the seabed[J]. Dynamics of Atmospheres and Oceans, 1982, 6(4): 207-232. doi: 10.1016/0377-0265(82)90029-X
    [14]
    HEATHERSHAW A D. Seabed-wave resonance and sand bar growth[J]. Nature, 1982, 296: 343-345. doi: 10.1038/296343a0
    [15]
    DAVIES A G, HEATHERSHAW A D. Surface-wave propagation over sinusoidally varying topography[J]. Journal of Fluid Mechanics, 1984, 144(1): 419-443.
    [16]
    LIU H W, LI X F, LIN P. Analytical study of Bragg resonance by singly periodic sinusoidal ripples based on the modified mild-slope equation[J]. Coastal Engineering, 2019, 150: 121-134. doi: 10.1016/j.coastaleng.2019.04.015
    [17]
    PENG J, TAO A, LIU Y, et al. A laboratory study of class Ⅲ Bragg resonance of gravity surface waves by periodic beds[J]. Physics of Fluids, 2019, 31(6): 067110. doi: 10.1063/1.5083790
    [18]
    LIANG B, GE H, ZHANG L, et al. Wave resonant scattering mechanism of sinusoidal seabed elucidated by Mathieu instability theorem[J]. Ocean Engineering, 2020, 218: 108238. doi: 10.1016/j.oceaneng.2020.108238
    [19]
    GAO J, MA X, DONG G, et al. Investigation on the effects of Bragg reflection on harbor oscillations[J]. Coastal Engineering, 2021, 170: 103977. doi: 10.1016/j.coastaleng.2021.103977
    [20]
    ZHANG H, TAO A, TU J, et al. The focusing waves induced by Bragg resonance with V-shaped undulating bottom[J]. Journal of Marine Science and Engineering, 2021, 9(7): 708. doi: 10.3390/jmse9070708
    [21]
    NING D Z, ZHANG S B, CHEN L F, et al. Nonlinear Bragg scattering of surface waves over a two-dimensional periodic structure[J]. Journal of Fluid Mechanics, 2022, 946: A25. doi: 10.1017/jfm.2022.609
    [22]
    HAO J, LI J, LIU S, et al. Wave amplification caused by Bragg resonance on parabolic-type topography[J]. Ocean Engineering, 2022, 244: 110442. doi: 10.1016/j.oceaneng.2021.110442
    [23]
    MEI C C, HARA T, NACIRI M. Note on Bragg scattering of water waves by parallel bars on the seabed[J]. Journal of Fluid Mechanics, 1988, 186: 147-162. doi: 10.1017/S0022112088000084
    [24]
    GUAZZELLI E, REY V, BELZONS M. Higher-order Bragg reflection of gravity surface waves by periodic beds[J]. Journal of Fluid Mechanics, 1992, 245: 301-317. doi: 10.1017/S0022112092000478
    [25]
    LIU Y, YUE D K. On generalized Bragg scattering of surface waves by bottom ripples[J]. Journal of Fluid Mechanics, 1998, 356(1): 297-326.
    [26]
    MADSEN P A, FUHRMAN D R, WANG B. A Boussinesq-type method for fully nonlinear waves interacting with a rapidly varying bathymetry[J]. Coastal Engineering, 2006, 53(5/6): 487-504.
    [27]
    CHANG H K, LIOU J C. Long wave reflection from submerged trapezoidal breakwaters[J]. Ocean Engineering, 2007, 34(1): 185-191. doi: 10.1016/j.oceaneng.2005.11.017
    [28]
    PORTER R, PORTER D. Scattered and free waves over periodic beds[J]. Journal of Fluid Mechanics, 2003, 483: 129-163. doi: 10.1017/S0022112003004208
    [29]
    LIU H W, LUO H, ZENG H D. Optimal collocation of three kinds of Bragg breakwaters for Bragg resonant reflection by long waves[J]. Journal of Waterway, Port, Coastal, and Ocean Engineering, 2015, 141(3): 1-17.
    [30]
    LIU H W, SHI Y P, CAO D Q. Optimization of parabolic bars for maximum Bragg resonant reflection of long waves[J]. Journal of Hydrodynamics (Series B), 2015, 27(3): 373-382. doi: 10.1016/S1001-6058(15)60495-4
    [31]
    LIU H W, ZENG H D, HUANG H D. Bragg resonant reflection of surface waves from deep water to shallow water by a finite array of trapezoidal bars[J]. Applied Ocean Research, 2020, 94: 101976. doi: 10.1016/j.apor.2019.101976
    [32]
    XIE J J. Long wave reflection by an array of submerged trapezoidal breakwaters on a sloping seabed[J]. Ocean Engineering, 2022, 252: 111138. doi: 10.1016/j.oceaneng.2022.111138
    [33]
    GUO F C, LIU H W, PAN J J. Phase downshift or upshift of Bragg resonance for water wave reflection by an array of cycloidal bars or trenches[J]. Wave Motion, 2021, 106: 102794. doi: 10.1016/j.wavemoti.2021.102794
    [34]
    潘俊杰, 刘焕文, 李长江. 周期排列抛物形系列沟槽引起的线性水波Bragg共振及共振相位上移[J]. 应用数学和力学, 2022, 43(3): 237-254. doi: 10.21656/1000-0887.420123

    PAN Junjie, LIU Huanwen, LI Changjiang. Bragg resonance and phase upshift of linear water waves excited by a finite periodic array of parabolic trenches[J]. Applied Mathematics and Mechanics, 2022, 43(3): 237-254. (in Chinese) doi: 10.21656/1000-0887.420123
    [35]
    LIU H W, XIONG W, XIE J J. A new law of class Ⅰ Bragg resonance for linear long waves over arrays of parabolic trenches or rectified cosinoidal trenches[J]. Ocean Engineering, 2023, 281: 114973. doi: 10.1016/j.oceaneng.2023.114973
    [36]
    XIE J J, LIU H W. Analytical study of Bragg resonances by a finite periodic array of congruent trapezoidal bars or trenches on a sloping seabed[J]. Applied Mathematical Modelling, 2023, 119: 717-735. doi: 10.1016/j.apm.2023.03.010
    [37]
    LINTON C M. Water waves over arrays of horizontal cylinders: band gaps and Bragg resonance[J]. Journal of Fluid Mechanics, 2011, 670: 504-526. doi: 10.1017/S0022112010005471
    [38]
    LIU H W, LIU Y, LIN P. Bloch band gap of shallow-water waves over infinite arrays of parabolic bars and rectified cosinoidal bars and Bragg resonance over finite arrays of bars[J]. Ocean Engineering, 2019, 188: 106235. doi: 10.1016/j.oceaneng.2019.106235
    [39]
    LIU H W. Band gaps for Bloch waves over an infinite array of trapezoidal bars and triangular bars in shallow water[J]. Ocean Engineering, 2017, 130: 72-82. doi: 10.1016/j.oceaneng.2016.11.056
    [40]
    LIU H W. An approximate law of class Ⅰ Bragg resonance of linear shallow-water waves excited by five types of artificial bars[J]. Ocean Engineering, 2023, 267: 113245. doi: 10.1016/j.oceaneng.2022.113245
    [41]
    PENG J, TAO A F, FAN J, et al. On the downshift of wave frequency for Bragg resonance[J]. China Ocean Engineering, 2022, 36(1): 76-85. doi: 10.1007/s13344-022-0006-y
    [42]
    FANG H, TANG L, LIN P. Bragg scattering of nonlinear surface waves by sinusoidal sandbars[J]. Journal of Fluid Mechanics, 2024, 979: A13. doi: 10.1017/jfm.2023.1005
    [43]
    FANG H, TANG L, LIN P. Theoretical study on the downshift of class Ⅱ Bragg resonance[J]. Physics of Fluids, 2024, 36(1): 017103. doi: 10.1063/5.0178754
    [44]
    REY V, GUAZZELLIÉ, MEI C C. Resonant reflection of surface gravity waves by one-dimensional doubly sinusoidal beds[J]. Physics of Fluids, 1996, 8(6): 1525-1530. doi: 10.1063/1.868928
    [45]
    DING Y, LIU H W, LIN P. Quantitative expression of the modified Bragg's law for Bragg resonances of water waves excited by five types of artificial bars[J]. Physics of Fluids, 2024, 36(4): 047130. doi: 10.1063/5.0201300
    [46]
    KAR P, SAHOO T, MEYLAN M H. Bragg scattering of long waves by an array of floating flexible plates in the presence of multiple submerged trenches[J]. Physics of Fluids, 2020, 32(9): 096603. doi: 10.1063/5.0017930
    [47]
    LIU H W, XIE W J, XIE J J, et al. Zero reflections of water surface gravity waves induced by a finite periodic array of artificial bars[J]. Physics of Fluids, 2025, 37(3): 037163. doi: 10.1063/5.0255928
    [48]
    MILES J W. Oblique surface-wave diffraction by a cylindrical obstacle[J]. Dynamics of Atmospheres and Oceans, 1981, 6(2): 121-123. doi: 10.1016/0377-0265(81)90019-1
    [49]
    LIU H W, ZHOU X M. Explicit modified mild-slope equation for wave scattering by piecewise monotonic and piecewise smooth bathymetries[J]. Journal of Engineering Mathematics, 2014, 87(1): 29-45. doi: 10.1007/s10665-013-9661-6
    [50]
    滕斌, 候志莹. 变化地形上波浪传播模拟的二维BEM模型[C]//第十九届中国海洋(岸)工程学术讨论会论文集. 重庆, 2019: 379-384.

    TENG Bin, HOU Zhiying. Two dimensional BEM model for modelling of wave propagation over varying topographies[C]//Proceedings of the 19 th China Ocean (Shore) Engineering Symposium. Chongqing, 2019: 379-384. (in Chinese)
  • 加载中

Catalog

    通讯作者: 陈斌, bchen63@163.com
    • 1. 

      沈阳化工大学材料科学与工程学院 沈阳 110142

    1. 本站搜索
    2. 百度学术搜索
    3. 万方数据库搜索
    4. CNKI搜索

    Figures(7)  / Tables(6)

    Article Metrics

    Article views (35) PDF downloads(3) Cited by()
    Proportional views
    Related

    /

    DownLoad:  Full-Size Img  PowerPoint
    Return
    Return