Volume 46 Issue 9
Sep.  2025
Turn off MathJax
Article Contents
YANG Yulin, TIAN Qinglong, CAI Chensheng, TANG Yucong, REN Jianwei, DONG Yang, GAO Huiyao, ZHAO Zhenyu, LU Tianjian. Dynamics of Rigid-Flexible-Thermal Coupled System With Temperature-Dependent Material Elastic Modulus[J]. Applied Mathematics and Mechanics, 2025, 46(9): 1130-1146. doi: 10.21656/1000-0887.450255
Citation: YANG Yulin, TIAN Qinglong, CAI Chensheng, TANG Yucong, REN Jianwei, DONG Yang, GAO Huiyao, ZHAO Zhenyu, LU Tianjian. Dynamics of Rigid-Flexible-Thermal Coupled System With Temperature-Dependent Material Elastic Modulus[J]. Applied Mathematics and Mechanics, 2025, 46(9): 1130-1146. doi: 10.21656/1000-0887.450255

Dynamics of Rigid-Flexible-Thermal Coupled System With Temperature-Dependent Material Elastic Modulus

doi: 10.21656/1000-0887.450255
  • Received Date: 2024-09-19
  • Rev Recd Date: 2024-10-24
  • Publish Date: 2025-09-01
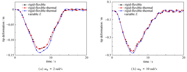
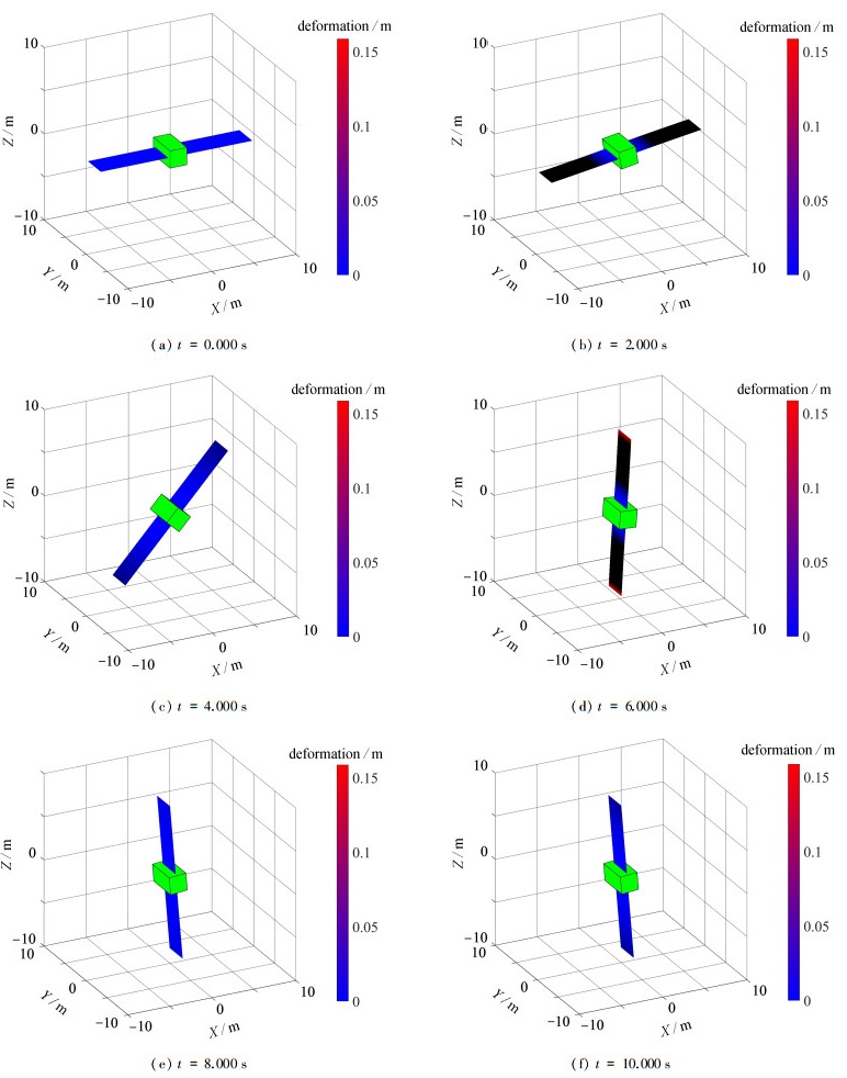
  • During space missions, spacecrafts are subjected to complex thermal loads in the space environment, suffering significant temperature variations in their flexible structures. These temperature variations can induce strongly nonlinear thermo-dynamic coupling responses, which may, in severe cases, cause spacecraft failure. For large and low-stiffness flexible structures, even a slight change in the material elastic modulus can result in significant system responses. Therefore, it is essential to analyze the effects of temperature-dependent elastic moduli on the dynamics of rigid-flexible-thermal coupled systems. The absolute nodal coordinate formulation (ANCF) was applied, where both displacement and temperature fields are described with positions and gradients as generalized coordinates. The temperature-dependent material elastic modulus was considered, and an isoparametric element with unified shape function interpolation for both displacement and temperature fields was proposed. The system's dynamic equations were derived based on the principle of virtual work, and the heat transfer equations were derived from the law of energy conservation. The generalized-α method was used to simultaneously solve these 2 sets of equations at each time step. The validity of the proposed model was first verified with the Boley simply supported beam. Then, the rigid-flexible-thermal coupled dynamic models were established for a rotating flexible beam and a spacecraft with a central rigid body and laminate solar panels. Dynamic analyses and comparisons were conducted for cases with and without temperature-induced changes in the material elastic modulus. The results show that, during the heat transfer process, compared to the effects of thermal stress on the system responses, the decrease in the material elastic modulus under thermal environment has a more significant impact on the system response. For rotating flexible beams, Ewith angular velocity ω0=2 rad/s and 10 rad/s, the maximum tip deformation increases by 9.7% and 4.5% respectively compared to that in the rigid flexible coupling case. For the central rigid body sandwich panel, with moment M0=200 N · m and 2 000 N · m, the maximum deformation at the test point increases by 8.7% and 7.1% respectively compared to that in the rigid flexible coupling case. The effects of temperature induced changes in the material elastic modulus on the dynamic responses of rigid flexible thermal coupling systems cannot be ignored, and the work provides a reference for the design of spacecraft control systems.

  • Contributed by LU Tianjian, M.AMM Editorial Board
  • loading
  • [1]
    胡海岩, 田强, 张伟, 等. 大型网架式可展开空间结构的非线性动力学与控制[J]. 力学进展, 2013, 43(4): 390-414.

    HU Haiyan, TIAN Qiang, ZHANG Wei, et al. Nonlinear dynamics and control of large deployable space structures composed of trusses and meshes[J]. Advances in Mechanics, 2013, 43(4): 390-414. (in Chinese)
    [2]
    段宝岩. 空间太阳能发电卫星的几个理论与关键技术问题[J]. 中国科学: 技术科学, 2018, 48(11): 1207-1218.

    DUAN Baoyan. The main aspects of the theory and key technologies about Space Solar Power Satellite[J]. Scientia Sinica: Technologica, 2018, 48(11): 1207-1218. (in Chinese)
    [3]
    LEE N, BACKES P, BURDICK J, et al. Architecture for in-space robotic assembly of a modular space telescope[J]. Journal of Astronomical Telescopes, Instruments, and Systems, 2016, 2(4): 041207. doi: 10.1117/1.JATIS.2.4.041207
    [4]
    THORNTON E A, KIM Y A. Thermally induced bending vibrations of a flexible rolled-up solar array[J]. Journal of Spacecraft and Rockets, 1993, 30(4): 438-448. doi: 10.2514/3.25550
    [5]
    胡甜赐, 陈素芳, 吴松, 等. 大型空间可展开结构热致振动研究[J]. 上海航天(中英文), 2021, 38(1): 28-35.

    HU Tianci, CHEN Sufang, WU Song, et al. Thermally induced vibration study for large-scale deployable spatial structures[J]. Aerospace Shanghai (Chinese & English), 2021, 38(1): 28-35. (in Chinese)
    [6]
    陈夜, 王开浚, 沈海军, 等. 多柔性附件卫星热致振动特性研究[J]. 航天器工程, 2022, 31(2): 78-84.

    CHEN Ye, WANG Kaijun, SHEN Haijun, et al. Study on thermally induced vibration characteristics of satellites with multi-flexible appendages[J]. Spacecraft Engineering, 2022, 31(2): 78-84. (in Chinese)
    [7]
    杨癸庚, 朱敏波, 连培园, 等. 大型可展开天线与卫星的热致耦合动力学分析[J]. 振动与冲击, 2014, 33(24): 173-178.

    YANG Guigeng, ZHU Minbo, LIAN Peiyuan, et al. Thermal induced coupling-dynamic analysis of a deployable satellite antenna system[J]. Journal of Vibration and Shock, 2014, 33(24): 173-178. (in Chinese)
    [8]
    LIKINS P W. Finite element appendage equations for hybrid coordinate dynamic analysis[J]. International Journal of Solids and Structures, 1972, 8(5): 709-731. doi: 10.1016/0020-7683(72)90038-8
    [9]
    JOHNSTON J D, THORNTON E A. Thermally induced dynamics of satellite solar panels[J]. Journal of Spacecraft and Rockets, 2000, 37(5): 604-613. doi: 10.2514/2.3633
    [10]
    LIU J Y, LU H. Thermal effect on the deformation of a flexible beam with large kinematical driven overall motions[J]. European Journal of Mechanics A: Solids, 2007, 26(1): 137-151. doi: 10.1016/j.euromechsol.2006.04.001
    [11]
    刘锦阳, 崔麟. 热载荷作用下大变形柔性梁刚柔耦合动力学分析[J]. 振动工程学报, 2009, 22(1): 48-53.

    LIU Jinyang, CUI Lin. Rigid-flexible coupling dynamics analysis for flexible beam with large deformation and applied with thermal load[J]. Journal of Vibration Engineering, 2009, 22(1): 48-53. (in Chinese)
    [12]
    王捷, 刘锦阳. 刚-柔-热耦合多体系统的动力学分析[J]. 应用力学学报, 2012, 29(5): 501-507.

    WANG Jie, LIU Jinyang. Rigid-flexible-thermal coupling dynamic analysis of flexible multi-body system[J]. Chinese Journal of Applied Mechanics, 2012, 29(5): 501-507. (in Chinese)
    [13]
    LIU J, PAN K. Rigid-flexible-thermal coupling dynamic formulation for satellite and plate multibody system[J]. Aerospace Science and Technology, 2016, 52: 102-114. doi: 10.1016/j.ast.2016.02.025
    [14]
    SHABANA A A. Computational Continuum Mechanics[M]. John Wiley & Sons, 2018.
    [15]
    SHEN Z, TIAN Q, LIU X, et al. Thermally induced vibrations of flexible beams using absolute nodal coordinate formulation[J]. Aerospace Science and Technology, 2013, 29(1): 386-393. doi: 10.1016/j.ast.2013.04.009
    [16]
    SHEN Z, HU G. Thermally induced vibrations of solar panel and their coupling with satellite[J]. International Journal of Applied Mechanics, 2013, 5(3): 1350031. doi: 10.1142/S1758825113500312
    [17]
    张炜华, 刘锦阳. 考虑刚-柔-热耦合的板结构多体系统的动力学建模[J]. 动力学与控制学报, 2016, 14(5): 438-447.

    ZHANG Weihua, LIU Jinyang. Rigid-flexible-thermal coupling dynamic formulation for hub-plate multibody system[J]. Journal of Dynamics and Control, 2016, 14(5): 438-447. (in Chinese)
    [18]
    张威. 航天器太阳电池阵多体系统动力学建模与振动控制研究[D]. 哈尔滨: 哈尔滨工程大学, 2021.

    ZHANG Wei. Research on multi-body dynamics and vibration control of spacecraft solar array system[D]. Harbin: Harbin Engineering University, 2021. (in Chinese)
    [19]
    CUI Y Q, YU Z Q, LAN P. A novel method of thermo-mechanical coupled analysis based on the unified description[J]. Mechanism and Machine Theory, 2019, 134: 376-392. doi: 10.1016/j.mechmachtheory.2019.01.001
    [20]
    CUI Y Q, LAN P, ZHOU H T, et al. The rigid-flexible-thermal coupled analysis for spacecraft carrying large-aperture paraboloid antenna[J]. Journal of Computational and Nonlinear Dynamics, 2020, 15(3): 031003. doi: 10.1115/1.4045890
    [21]
    SOHN H. Effects of environmental and operational variability on structural health monitoring[J]. Philosophical Transactions of the Royal Society A: Mathematical, Physical and Engineering Sciences, 2007, 365(1851): 539-560. doi: 10.1098/rsta.2006.1935
    [22]
    王力, 刘世忠, 丁万鹏, 等. 考虑时变温度作用的新型波形钢腹板组合箱梁动力特性分析[J]. 振动与冲击, 2021, 40(4): 58-65.

    WANG Li, LIU Shizhong, DING Wanpeng, et al. Dynamic analysis of a new-pattern composite box girder with corrugated steel webs under time-varying temperature condition[J]. Journal of Vibration and Shock, 2021, 40(4): 58-65. (in Chinese)
    [23]
    贺文宇, 周磊, 李志东, 等. 环境温度对混凝土梁式桥频率的影响研究[J]. 湖南大学学报(自然科学版), 2024, 51(1): 33-42.

    HE Wenyu, ZHOU Lei, LI Zhidong, et al. Study on environmental temperature on frequency of concrete beam-type bridge[J]. Journal of Hunan University (Natural Sciences), 2024, 51(1): 33-42. (in Chinese)
    [24]
    陈浩宇, 王彬文, 宋巧治, 等. 高超声速飞行器热颤振研究现状与展望[J]. 航空工程进展, 2022, 13(1): 19-27.

    CHEN Haoyu, WANG Binwen, SONG Qiaozhi, et al. Research progress and prospect of thermal flutter of hypersonic vehicles[J]. Advances in Aeronautical Science and Engineering, 2022, 13(1): 19-27. (in Chinese)
    [25]
    黄杰, 姚卫星. 翼面热环境的并行迭代耦合方法及热模态分析[J]. 振动、测试与诊断, 2019, 39(4): 752-759.

    HUANG Jie, YAO Weixing. Parallel iterative coupled method for thermal environment of wing and thermal modal analysis[J]. Journal of Vibration, Measurement & Diagnosis, 2019, 39(4): 752-759. (in Chinese)
    [26]
    王帅, 吴炜, 黄益民, 等. 温度对复合材料舵面颤振特性的影响[J]. 复合材料科学与工程, 2021(3): 5-13.

    WANG Shuai, WU Wei, HUANG Yimin, et al. The influence of temperature on flutter characteristics of composite rudder[J]. Composites Science and Engineering, 2021(3): 5-13. (in Chinese)
    [27]
    李宇峰, 贺利乐, 张璇, 等. 典型热防护壁板结构的热模态分析[J]. 应用力学学报, 2017, 34(1): 43-49.

    LI Yufeng, HE Lile, ZHANG Xuan, et al. Thermal modal analysis of typical thermo-defend panel structure[J]. Chinese Journal of Applied Mechanics, 2017, 34(1): 43-49. (in Chinese)
    [28]
    赵振宇. 环境温度作用下拱桥温度-结构耦合场问题研究[D]. 西安: 长安大学, 2011.

    ZHAO Zhenyu. Study on the thermal-structural coupled field of arch bridge by environmental temperature action[D]. Xi'an: Changan University, 2011. (in Chinese)
    [29]
    尹冠生, 赵振宇, 徐兵. 太阳辐射作用下拱桥温度场研究[J]. 应用力学学报, 2014, 31(6): 939-944.

    YIN Guansheng, ZHAO Zhenyu, XU Bing. Study on the thermal field of arch bridge by solar radiation action[J]. Chinese Journal of Applied Mechanics, 2014, 31(6): 939-944. (in Chinese)
    [30]
    SHABANA A A, YAKOUB R Y. Three dimensional absolute nodal coordinate formulation for beam elements: theory[J]. Journal of Mechanical Design, 2001, 123(4): 606-613. doi: 10.1115/1.1410100
    [31]
    MIKKOLA A M, SHABANA A A. A non-incremental finite element procedure for the analysis of large deformation of plates and shells in mechanical system applications[J]. Multibody System Dynamics, 2003, 9(3): 283-309. doi: 10.1023/A:1022950912782
    [32]
    张慎, 陈州, 李霆, 等. 基于ABAQUS的木材本构模型及试验验证[J]. 工程力学, 2025, 42(3): 77-89.

    ZHANG Shen, CHEN Zhou, LI Ting, et al. Constitutive model of wood based on ABAQUS and its test verification[J]. Engineering Mechanics, 2025, 42(3): 77-89. (in Chinese)
    [33]
    崔雅琦. 基于绝对节点坐标法的多场耦合系统动力学分析方法及应用[D]. 哈尔滨: 哈尔滨工业大学, 2021.

    CUI Yaqi. The method of dynamic analysis for multi-field coupling system and its applications based on the absolute nodal coordinate formulation[D]. Harbin: Harbin Institute of Technology, 2021. (in Chinese)
    [34]
    ARNOLD M, BRÜLS O. Convergence of the generalized-α scheme for constrained mechanical systems[J]. Multibody System Dynamics, 2007, 18(2): 185-202. doi: 10.1007/s11044-007-9084-0
    [35]
    BOLEY B A. Thermally induced vibrations of beams[J]. Journal of the Aeronautical Science, 1956, 23(2): 179-181.
  • 加载中

Catalog

    通讯作者: 陈斌, bchen63@163.com
    • 1. 

      沈阳化工大学材料科学与工程学院 沈阳 110142

    1. 本站搜索
    2. 百度学术搜索
    3. 万方数据库搜索
    4. CNKI搜索

    Figures(17)  / Tables(5)

    Article Metrics

    Article views (46) PDF downloads(3) Cited by()
    Proportional views
    Related

    /

    DownLoad:  Full-Size Img  PowerPoint
    Return
    Return