Volume 47 Issue 2
Feb.  2026
Turn off MathJax
Article Contents
LI Changtong, TIAN Jia, FENG Xiaozhou, LIU Yuntao. Dynamic Behavior and Sensitivity Analysis on a Class of Diabetes Models[J]. Applied Mathematics and Mechanics, 2026, 47(2): 243-256. doi: 10.21656/1000-0887.460021
Citation: LI Changtong, TIAN Jia, FENG Xiaozhou, LIU Yuntao. Dynamic Behavior and Sensitivity Analysis on a Class of Diabetes Models[J]. Applied Mathematics and Mechanics, 2026, 47(2): 243-256. doi: 10.21656/1000-0887.460021

Dynamic Behavior and Sensitivity Analysis on a Class of Diabetes Models

doi: 10.21656/1000-0887.460021
  • Received Date: 2025-02-06
  • Rev Recd Date: 2025-05-12
  • Publish Date: 2026-02-01
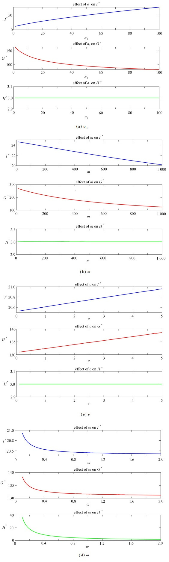
  • Based on the fact that glucocorticoid induces insulin resistance, a new type of diabetes model involving insulin, glucose, and glucocorticoid was established to explore the complex pathogenesis of diabetes. Firstly, the local and global stability of the equilibrium point was demonstrated with the linearization method, the limit system theory, and the Dulac criterion. Secondly, the key parameters affecting glucose concentration were selected, and the sensitivity analysis of the key parameters with respect to the positive equilibrium point was carried out with the direct differentiation method. This analysis shows how the key parameters influence the secretion and function of insulin and glucocorticoid, thereby helping to regulate the fluctuations of glucose levels. Finally, numerical simulations were conducted on MATLAB. These simulations not only verify the correctness of the theoretical analysis, but also reveal the changing trends of glucose concentrations under different intervention treatments. The results indicate that, the selection of appropriate key parameters is crucial for the control of glucose concentration, which provides a theoretical basis for formulating clinical treatment plans for diabetes.
  • loading
  • [1]
    ATKINSON M A, EISENBARTH G S, MICHELS A W. Type 1 diabetes[J]. The Lancet, 2014, 383(9911): 69-82. doi: 10.1016/S0140-6736(13)60591-7
    [2]
    TAYLOR R. Type 2 diabetes: etiology and reversibility[J]. Diabetes Care, 2013, 36(4): 1047-1055. doi: 10.2337/dc12-1805
    [3]
    BERGET C, MESSER L H, FORLENZA G P. A clinical overview of insulin pump therapy for the management of diabetes: past, present, and future of intensive therapy[J]. Diabetes Spectrum, 2019, 32(3): 194-204. doi: 10.2337/ds18-0091
    [4]
    WANG Xia, ZHANG Ying, SONG Xinyu. Mathematical model for diabetes mellitus with impulsive injections of glucose-insulin[J]. Chinese Quarterly Journal of Mathematics, 2017, 32(2): 118-133
    [5]
    HUANG M, LI J, SONG X, et al. Modeling impulsive injections of insulin: towards artificial pancreas[J]. SIAM Journal on Applied Mathematics, 2012, 72(5): 1524-1548. doi: 10.1137/110860306
    [6]
    MA M, LI J. Dynamics of a glucose-insulin model[J]. Journal of Biological Dynamics, 2022, 16(1): 733-745. doi: 10.1080/17513758.2022.2146769
    [7]
    SAVATOROVA V, TALONOV A. Differential equations for modeling pathways leading to diabetes onset[J]. CODEE Journal, 2024, 18(1): 1-31.
    [8]
    AL ALI H, BOUTAYEB W, BOUTAYEB A, et al. A mathematical model on the effect of growth hormone on glucose homeostasis[J]. ARIMA Joural, 2019, 30: 31-42.
    [9]
    KIM S H, PARK M J. Effects of growth hormone on glucose metabolism and insulin resistance in human[J]. Annals of Pediatric Endocrinology & Metabolism, 2017, 22(3): 145-152.
    [10]
    AL ALI H, DANESHKHAH A, BOUTAYEB A, et al. Exploring dynamical properties of a type 1 diabetes model using sensitivity approaches[J]. Mathematics and Computers in Simulation, 2022, 201: 324-342. doi: 10.1016/j.matcom.2022.05.008
    [11]
    傅金波, 陈兰荪. 基于两斑块和人口流动的SIR传染病模型的稳定性[J]. 应用数学和力学, 2017, 38(4): 486-494. doi: 10.21656/1000-0887.370087

    FU Jinbo, CHEN Lansun. Stability of an SIR epidemic model with 2 patches and population movement[J]. Applied Mathematics and Mechanics, 2017, 38(4): 486-494. (in Chinese) doi: 10.21656/1000-0887.370087
    [12]
    贾西北, 蔺小林, 李建全, 等. 基于成熟阶段密度制约的同类相食模型的动力学分析[J]. 应用数学和力学, 2023, 44(3): 355-366. doi: 10.21656/1000-0887.430120

    JIA Xibei, LIN Xiaolin, LI Jianquan, et al. Dynamics analysis of cannibalistic model with density dependence in mature stage[J]. Applied Mathematics and Mechanics, 2023, 44(3): 355-366. (in Chinese) doi: 10.21656/1000-0887.430120
    [13]
    AAKASH M, GUNASUNDARI C, SABARINATHAN S, et al. Mathematical insights into the SEIQRD model with Allee and fear dynamics in the context of COVID-19[J]. Partial Differential Equations in Applied Mathematics, 2024, 11: 100756. doi: 10.1016/j.padiff.2024.100756
    [14]
    CHITNIS N, HYMAN J M, CUSHING J M. Determining important parameters in the spread of malaria through the sensitivity analysis of a mathematical model[J]. Bulletin of Mathematical Biology, 2008, 70(5): 1272-1296. doi: 10.1007/s11538-008-9299-0
  • 加载中

Catalog

    通讯作者: 陈斌, bchen63@163.com
    • 1. 

      沈阳化工大学材料科学与工程学院 沈阳 110142

    1. 本站搜索
    2. 百度学术搜索
    3. 万方数据库搜索
    4. CNKI搜索

    Figures(6)

    Article Metrics

    Article views (8) PDF downloads(4) Cited by()
    Proportional views
    Related

    /

    DownLoad:  Full-Size Img  PowerPoint
    Return
    Return