Volume 47 Issue 2
Feb.  2026
Turn off MathJax
Article Contents
WANG Zhifu, WEI Shutao, ZHANG Yuandi, ZHENG Jian. Improvement of the Calculation Method for Stress Intensity Factors at the Free Surface of Typical Cracks in Ultra-High-Pressure Vessel[J]. Applied Mathematics and Mechanics, 2026, 47(2): 178-188. doi: 10.21656/1000-0887.460176
Citation: WANG Zhifu, WEI Shutao, ZHANG Yuandi, ZHENG Jian. Improvement of the Calculation Method for Stress Intensity Factors at the Free Surface of Typical Cracks in Ultra-High-Pressure Vessel[J]. Applied Mathematics and Mechanics, 2026, 47(2): 178-188. doi: 10.21656/1000-0887.460176

Improvement of the Calculation Method for Stress Intensity Factors at the Free Surface of Typical Cracks in Ultra-High-Pressure Vessel

doi: 10.21656/1000-0887.460176
  • Received Date: 2025-09-23
  • Rev Recd Date: 2025-12-16
  • Publish Date: 2026-02-01
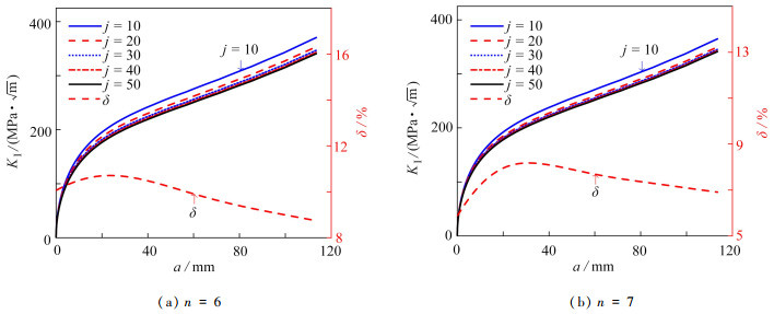
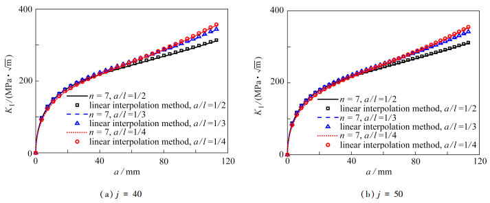
  • The stress intensity factor at the free surface is a core calculation parameter in the typical crack propagation and life prediction process of ultra-high-pressure vessels. Based on the segmented linear interpolation method, an improved method based on high-order polynomial fitting calculation was proposed. With blind bottom cracks as an example, stress data under different collected data volumes were fitted by means of polynomials of different orders; The stress intensity factors at the free surface of different cracks was calculated with this method, and the effects of polynomial orders and data amounts on the calculation results were explored; At different crack depth to length ratios, the differences between this method and the recommended linear interpolation method in previous literatures and the finite element method, were compared and analyzed. The results indicate that, as the polynomial order increases, the calculation results show a gradually approaching and converging trend. The minimum relative error of the calculation results for conventional cubic and high-order polynomial fitting is about -30%; As the collected data amount continues to increase, the calculation results gradually converge towards a stable value. Comparison of calculation results between the cases with less and more data shows that, the maximum relative error can reach about 11%. This method, with its calculation results, is basically consistent with the linear interpolation method in the previous literatures and the finite element method, and is suitable for dynamic crack propagation and life prediction processes.
  • loading
  • [1]
    张海, 欧阳瑞洁, 张永红, 等. 钛合金气瓶疲劳试验壳体开裂失效分析[J]. 压力容器, 2021, 38(7): 77-80.

    ZHANG Hai, OUYANG Ruijie, ZHANG Yonghong, et al. Cracking failure analysis of a titanium alloy pressure vessel in hydraulic fatigue test[J]. Pressure Vessel Technology, 2021, 38(7): 77-80. (in Chinese)
    [2]
    赵广洲, 鲍文杰, 陈凡, 等. 高压气瓶4130X钢低周疲劳特性及疲劳设计曲线探讨[J]. 压力容器, 2023, 40(8): 37-43.

    ZHAO Guangzhou, BAO Wenjie, CHEN Fan, et al. Discussion on low cycle fatigue characteristics and fatigue design curve of 4130X steel for high pressure gas cylinder[J]. Pressure Vessel Technology, 2023, 40(8): 37-43. (in Chinese)
    [3]
    全国锅炉压力容器标准化技术委员会. 超高压容器: GB/T 34019—2017[S]. 2017.

    National Boiler and Pressure Vessel Standardization Technical Committee. Ultra-high pressure vessels: GB/T 34019—2017[S]. 2017. (in Chinese)
    [4]
    ASME BPVC. Ⅷ. 3, Alternative rules for construction of high-pressure vessels[S]. New York: American Society of Mechanical Engineers, 2023.
    [5]
    国家质检总局特种设备安全监察局. 固定式压力容器安全技术监察规程: TSG 21—2016[S]. 北京: 新华出版社, 2016.

    General Administration of Quality Supervision, Inspection and Quarantine of China. Safety technical supervision regulations for stationary pressure vessels: TSG 21—2016[S]. Beijing: Xinhua Publishing House, 2016. (in Chinese)
    [6]
    谢芳, 刘德俊, 杨正伟. 压力容器内外壁轴向双裂纹相互作用[J]. 油气储运, 2019, 38(2): 130-136.

    XIE Fang, LIU Dejun, YANG Zhengwei. The interaction between axial double cracks in the inner and outer walls of pressure vessels[J]. Oil & Gas Storage and Transportation, 2019, 38(2): 130-136. (in Chinese)
    [7]
    王宁, 王永娟, 徐诚, 等. 硬化层力学参数对身管内表面径向裂纹Ⅰ型应力强度因子的影响[J]. 兵器装备工程学报, 2025, 46(4): 1-8.

    WANG Ning, WANG Yongjuan, XU Cheng, et al. Effect of mechanical parameters of hardened layer on model Ⅰ SIF of crack on inner surface of barrel[J]. Journal of Ordnance Equipment Engineering, 2025, 46(4): 1-8. (in Chinese)
    [8]
    宋顺成, 黄建文, 许湘. 具有内表面裂纹高压厚壁圆管的疲劳寿命分析[J]. 核动力工程, 2007, 28(1): 26-31.

    SONG Shuncheng, HUANG Jianwen, XU Xiang. Analysis of fatigue life of thick-wall cylinder with inner surface crack subjected to high pressure[J]. Nuclear Power Engineering, 2007, 28(1): 26-31. (in Chinese)
    [9]
    李戎, 杨萌, 梁斌, 等. 基于裂纹尖端应力比值的含裂纹功能梯度材料圆筒应力强度因子计算方法[J]. 工程力学, 2020, 37(4): 22-29.

    LI Rong, YANG Meng, LIANG Bin, et al. Calculation method of stress intensity factor for cracked functionally graded hollow cylinder based on the ratio of stresses at crack tip[J]. Engineering Mechanics, 2020, 37(4): 22-29. (in Chinese)
    [10]
    张瑞凯, 刘攀, 谈建平, 等. 核电蒸汽发生器接管嘴外表面裂纹应力强度因子计算[J]. 核动力工程, 2022, 43(5): 138-146.

    ZHANG Ruikai, LIU Pan, TAN Jianping, et al. Calculation of stress intensity factor of external surface crack on the nozzle of steam generator in nuclear power plant[J]. Nuclear Power Engineering, 2022, 43(5): 138-146. (in Chinese)
    [11]
    何家胜, 朱卫卫, 李书容, 等. 压力容器开孔接管处表面斜裂纹应力强度因子数值分析[J]. 核动力工程, 2010, 31(5): 1-4.

    HE Jiasheng, ZHU Weiwei, LI Shurong, et al. Numerical analysis of stress intensity factor of surface inclined cracks at intersection of cylindrical vessels and nozzles[J]. Nuclear Power Engineering, 2010, 31(5): 1-4. (in Chinese)
    [12]
    汪志福, 秦宗川, 牛铮, 等. 应力集中部位裂纹自由表面处应力强度因子的计算与分析[J]. 压力容器, 2023, 40(12): 41-49.

    WANG Zhifu, QIN Zongchuan, NIU Zheng, et al. Calculation and analysis of stress intensity factor at the free surface of crack at the stress concentration position[J]. Pressure Vessel Technology, 2023, 40(12): 41-49. (in Chinese)
    [13]
    BUECKNER H F. A novel principle of the computation of stress intensity factors[J]. Zamm-zeitschrift Fur Angewandte Mathematik Und Mechanik, 1970, 50(9): 529-546.
    [14]
    RICE J R. Some remarks on elastic crack-tip stress fields[J]. International Journal of Solids and Structures, 1972, 8(6): 751-758. doi: 10.1016/0020-7683(72)90040-6
    [15]
    GLINKA G, SHEN G. Universal features of weight functions for cracks in mode Ⅰ[J]. Engineering Fracture Mechanics, 1991, 40(6): 1135-1146. doi: 10.1016/0013-7944(91)90177-3
    [16]
    ZHENG X J, KICIAK A, GLINKA G. Weight functions and stress intensity factors for internal surface semi-elliptical crack in thick-walled cylinder[J]. Engineering Fracture Mechanics, 1997, 58(3): 207-221. doi: 10.1016/S0013-7944(97)00083-0
    [17]
    RAJU I S, NEWMAN J C. Stress-intensity factors for internal and external surface cracks in cylindrical vessels[J]. Journal of Pressure Vessel Technology, 1982, 104(4): 293-298. doi: 10.1115/1.3264220
    [18]
    JONES I S, ROTHWELL G. Reference stress intensity factors with application to weight functions for internal circumferential cracks in cylinders[J]. Engineering Fracture Mechanics, 2001, 68(4): 435-454. doi: 10.1016/S0013-7944(00)00111-9
    [19]
    SHEN G, GLINKA G. Determination of weight functions from reference stress intensity factors[J]. Theoretical and Applied Fracture Mechanics, 1991, 15(3): 237-245. doi: 10.1016/0167-8442(91)90022-C
    [20]
    CIPOLLA R C. Technical basis for the revised stress intensity factor equation for surface flaws in ASME section XI appendix A[C]//International Pressure Vessels and Piping Codes and Standards: the 1995 Joint ASME/JSME Pressure Vessels and Piping Conference. Honolulu, Hawaii: ASME, 1995, 1: 105-122.
    [21]
    CIPOLLA R C, LEE D R. Technical basis for equations for stress intensity factor coefficients in ASME section XI appendix A[C]//Pressure Vessel and Piping Codes and Standards. San Diego, California, USA, 2004: 301-312.
  • 加载中

Catalog

    通讯作者: 陈斌, bchen63@163.com
    • 1. 

      沈阳化工大学材料科学与工程学院 沈阳 110142

    1. 本站搜索
    2. 百度学术搜索
    3. 万方数据库搜索
    4. CNKI搜索

    Figures(12)

    Article Metrics

    Article views (16) PDF downloads(3) Cited by()
    Proportional views
    Related

    /

    DownLoad:  Full-Size Img  PowerPoint
    Return
    Return