2025 Vol. 46, No. 12

Dynamics and Control
A Semi-Analytical Method for Peak Response Analysis of Bridge Stochastic Vibration Under Seismic Excitation
YANG Liu, MAO Chenyang, ZHAO Yan
2025, 46(12): 1501-1514. doi: 10.21656/1000-0887.460024
Abstract(444) HTML (225) PDF(67)
Abstract:
A semi-analytical method for peak response analysis of first-passage failure of linear structures under stochastic seismic excitation was presented. Based on a multi-modal orthogonal decomposition strategy, the effective decoupling of temporal and spatial variables was achieved, to transform the structural physical stress response into the efficient modal space solution. The pseudo excitation method was employed to derive analytical expressions for modal response spectral moments under seismic spectrum excitation. Combined with the probability density function of response peaks according to the first-passage failure mechanism, a high-precision and rapid computational model for vibration peak responses was established. In the engineering case of a typical long-span cable-stayed bridge, comparative analysis of stress response peaks for critical components was conducted. Numerical results demonstrate that, compared with conventional methods, the proposed approach maintains computational accuracy while improving computational efficiency by 2 orders of magnitude, providing an effective tool for seismic reliability assessment of large-scale engineering structures.
The Theory and Parameter Identification for the Graphite Block Collision Model
PENG Xingming, ZHANG Chi, WU Yaozu, LAN Tianbao, LUO Yajun
2025, 46(12): 1515-1526. doi: 10.21656/1000-0887.450295
Abstract(488) HTML (202) PDF(49)
Abstract:
The graphite core, as the crucial component of a gas-cooled reactor, may trigger collision due to the gap between components under seismic loads, to affect the safety of the reactor. Studying its collision dynamic characteristics is of great significance for the safety assessment of nuclear engineering. For seismic analysis of nuclear equipment, the whole system is often simplified (such as the modal superposition method) to carry out efficient dynamic calculations, so it is necessary to find a linearized core collision behavior analysis model. The classical L-N collision modeling, the Kelvin collision modeling, and the modeling theory analysis of the linear simplified model were carried out based on the collision behaviors of graphite blocks. Then, the effects of model parameters on its collision behaviors were discussed, and an iterative recognition algorithm for model parameters was proposed. Finally, a dedicated collision test system for graphite blocks was established. The collision responses under various initial velocities were measured, to enable the statistical analysis of collision characteristics, the parameter identification for the collision model, and the validation of the linear equivalent model. This study can provide an important reference for the seismic analysis model for nuclear equipment containing graphite cores and other collision components.
Random Bifurcation of Time-Delay Suspension Systems Under Gaussian White Noise Excitation
LAN Pan, WEI Zhouchao
2025, 46(12): 1527-1539. doi: 10.21656/1000-0887.450343
Abstract(458) HTML (197) PDF(53)
Abstract:
The suspension system under random excitation and time-delay feedback control was investigated. Firstly, the conditions for the Hopf bifurcation of the system were analyzed. Secondly, the center manifold theory and the maximum Lyapunov exponent were used to study the local stability and stochastic D-bifurcation conditions for the system. Then the global stability was further explored with the singular boundary theory. Numerical simulations reveal the effects of noise intensities and time-delay feedback coefficients on the system dynamics, thereby verifying the theoretical results.
Normalization and Duality Relations of Modified Timoshenko Beams
CAI Wenxiu, ZHENG Gang, TANG Yu, SUN Ceshi, YE Nianyu, XUE Wenqi
2025, 46(12): 1540-1549. doi: 10.21656/1000-0887.450292
Abstract(499) HTML (206) PDF(44)
Abstract:
The duality conditions and classification of the modified Timoshenko beam systems were investigated, with its theoretical significance highlighted. First, the modified dynamic equations for the Timoshenko beam were normalized through time and space scaling transformations. Based on the normalized equations, the existence of parametric duality relations was established under arbitrary identical boundary conditions. Next, the parametric dual characteristics corresponding to different cross-sectional geometries were analyzed. Finally, under clamped-hinged, clamped-clamped, and clamped-free boundary conditions, the normalized equations were solved, to develop a novel method for building dual beams. Through examples from the literatures, the parametric dual characteristics of modified Timoshenko beams were further elucidated. The results demonstrate that, the frequencies of the modified Timoshenko dual beams derived via the normalization algorithm are identical, which confirms the parametric dual conditions of the modified beams. This study reveals that the parametric duality of dynamic properties is an intrinsic feature of modified Timoshenko beams, and the time and space scaling transformations provide a robust framework for uncovering these properties.
Solid Mechanics
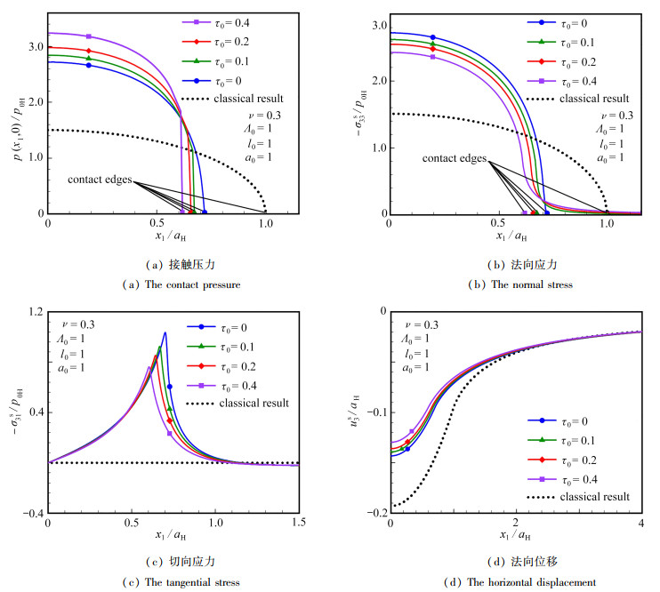
Investigation of the Sphere-Plane Contact Problem Under Micro-Scale Effects
MA Weiwei, WANG Yuxing, SHEN Huoming, LIU Juan
2025, 46(12): 1550-1559. doi: 10.21656/1000-0887.450260
Abstract(450) HTML (180) PDF(45)
Abstract:
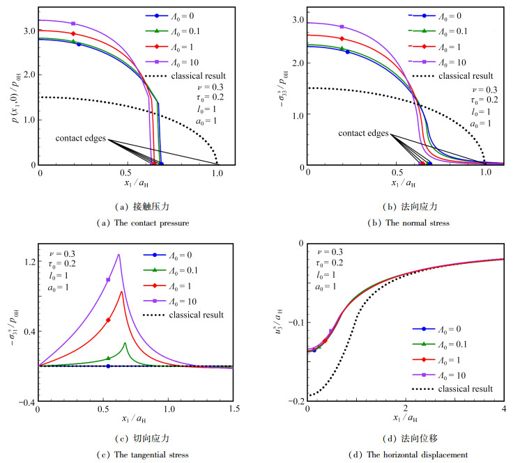
Based on the surface elasticity and couple stress theories, a 3D contact problem between a rigid spherical indenter and an elastic half-space at the micro and nano scale was studied. The size effects of materials were described with the characteristic material lengths of the surface and the material. Through combination of the surface elasticity theory and the couple stress theory, the frequency response function in the elastic half-space under normal loading was derived. Then, with the conjugate gradient method and the fast Fourier transform, a 3D semi-analytical contact model was established. The proposed model was then used to analyze the effects of surface residual stress, surface material constants, and the characteristic material lengths on the contact pressure, stress, and displacement on the contact surface. The results show that, compared with the classical contact solution, the contact pressure at the contact edge of the surface decrease sharply under the size effects. Additionally, the normal stress on the surface remains continuous and without abrupt changes at the contact edge, while the tangential stress is non-zero, and the normal displacement of the surface decreases. Furthermore, as the characteristic material length of the material increases, the direction of the tangential stress on the surface will reverse.
Analytical Modeling of Magneto-Electric Effects Based on Nonlinear Properties
ZHENG Jianxiao, WANG Chuyou, LIU Jinsong, ZHOU Liming, ZHANG Mao
2025, 46(12): 1560-1570. doi: 10.21656/1000-0887.450238
Abstract(417) HTML (226) PDF(38)
Abstract:
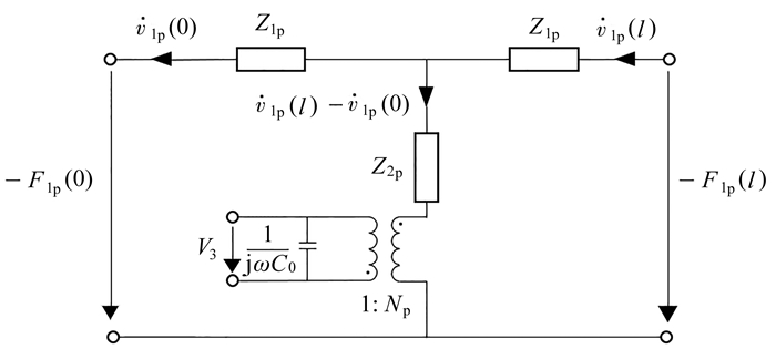
A magnetoelectric effect analysis model based on the equivalent circuit method was proposed to address the complex nonlinear magneto-mechanical coupling in magnetostrictive materials and the interface coupling between magnetoelectric composites. With the nonlinear model for magnetostrictive material Tb0.3Dy0.7Fe1.92 (Terfenol-D), theoretical derivations were carried out to obtain expressions for the magnetostrictive coefficient, the piezomagnetic coefficient, and the relative permeability of the magnetostrictive material under complex nonlinear magneto-mechanical coupling conditions, which were then incorporated into the linear constitutive equations of the magnetostrictive material. The equivalent circuit method was applied to model both magnetostrictive material Terfenol-D and piezoelectric material Pb(Zr, Ti)O3 (PZT), with the introduction of an interface coupling coefficient to couple the 2 equivalent circuits. By comparison of the theoretical predictions of the piezomagnetic coefficient and the magnetoelectric voltage coefficient with experimental data, the effectiveness of the equivalent parameter expressions and the nonlinear theoretical model was validated. The study shows that, the magnetoelectric voltage coefficient is closely related to the laminate ratio, the interface coupling coefficient, and the applied magnetic field. The results provide a theoretical guidance for optimizing the magnetoelectric effects in magnetoelectric composites.
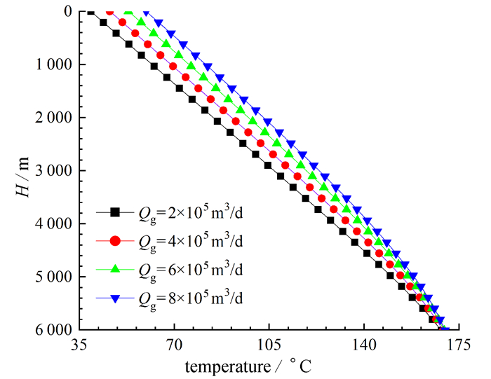
Study on the Influence Mechanism of Annular Solid Phase Settling on Deepwater Trapped Pressure and the Prediction Model
KONG Xiangwei, WEN Shuai, XIE Guangyu, WU Hongjian
2025, 46(12): 1571-1583. doi: 10.21656/1000-0887.450247
Abstract(446) HTML (198) PDF(34)
Abstract:
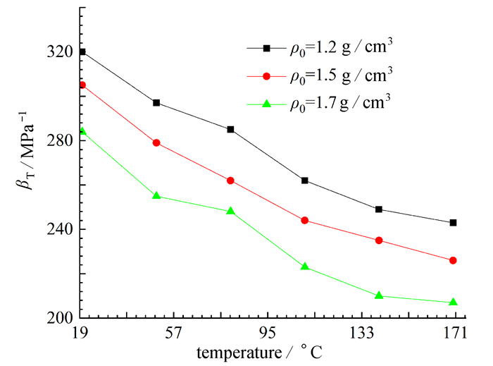
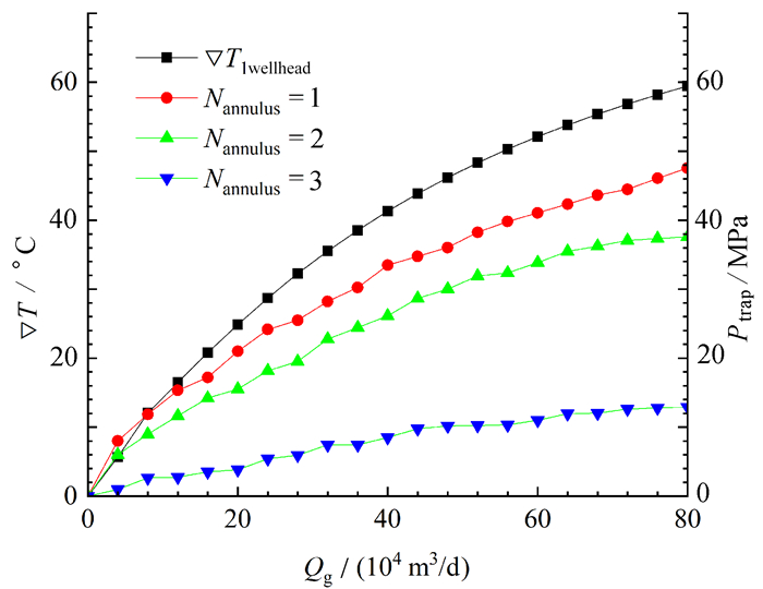
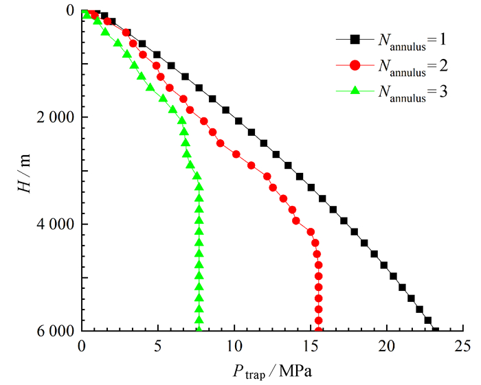
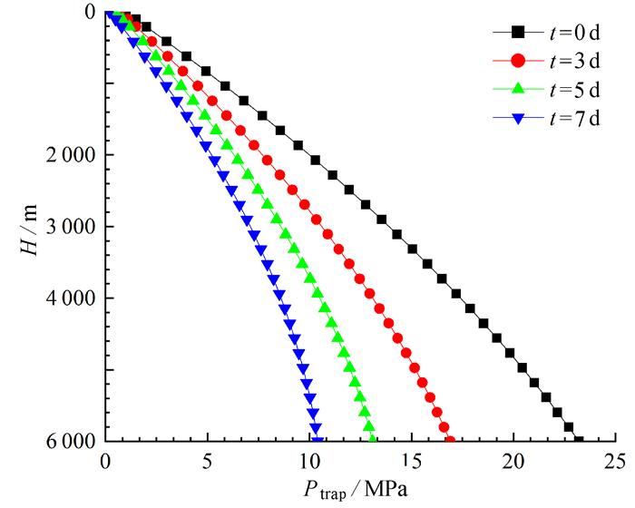
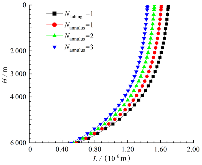
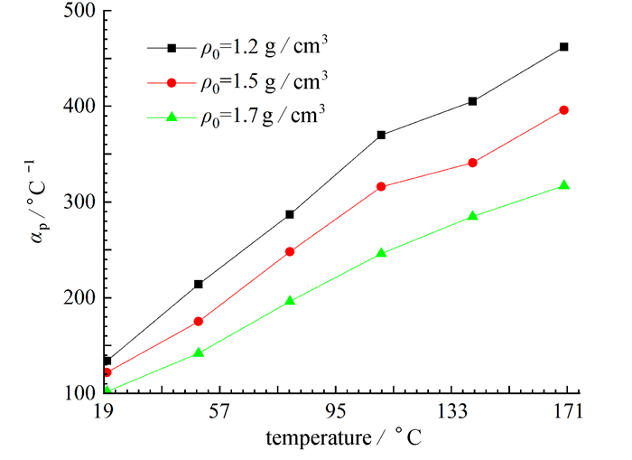
In deepwater oil and gas production operations, accurately predicting the annular trapped pressure is of decisive significance for ensuring the safety of oil and gas wells, optimizing the production process, and extending the service life of oil and gas wells. The water-based annular fluids were investigated and the density and thermophysical property parameters under various settlement times were systematically tested, and the influence law of solid-phase settlement on the fluid parameters was sorted out. Based on the law of constant-volume thermodynamics, in view of key factors such as solid-phase settlement and dynamic changes in the thermophysical property parameters of the fluids, a calculation method for the multi-annular coupled trapped pressures applicable to gas wells was proposed. Through comparison of the calculation results of this method with the measured trapped pressure data at the underwater wellhead, the maximum error between the 2 is only 8.91%. With a typical offshore gas production well as a specific example, a program was developed with the.Net language to solve and operate the constructed model. The results show that, the solid-phase settlement has an extremely significant effect on the density of the annular fluid. With the continuous increase of the settlement time, the fluid density shows an obvious downward trend. After a 7 d test, the drilling fluid density gradually decreases from the initial value of 1.7 g/cm3 to 1.23 g/cm3 and tends to be stable, with a density reduction of up to 27.65%. With the well depth increase, the gas production rate rise, the isobaric expansion coefficient uplift and the drilling fluid isothermal compression coefficient growth, the annular trapped pressure always shows an increasing trend. Under the condition of the same thermophysical property of the fluid, the annular trapped pressure is particularly affected by the closed volume of the annulus. The trapped pressure in the 1st annulus is 23.2 MPa, that in the 2nd is 15.53 MPa, and that in the 3rd is 7.69 MPa. In addition, the comparison of the tubing displacement at the wellhead with that at the bottom of the well indicates that, the maximum tubing displacement at the wellhead decreases from 1.69×10-6 m to 6.1×10-7 m, and the tubing displacement at the wellhead is about 2.77 times that at the bottom. The accurate solution of the annular trapped pressure can provide an extremely crucial theoretical basis and data support for practical engineering operations such as checking the pipe string safety factor, evaluating the wellhead uplift risk, and optimizing the cement return height design, and effectively contribute to the safe and efficient development of deepwater oil and gas production operations.
Study on V-Notch Stress Singularity in Functionally Graded Bi-Material Medium-Thickness Sector Plates With the DQM
CAO Jiuyin, LI Siran, GE Renyu
2025, 46(12): 1584-1597. doi: 10.21656/1000-0887.450256
Abstract(428) HTML (187) PDF(34)
Abstract:
A practical method for analyzing stress singularity indexes was proposed for the problem of notch tips in bi-material functionally graded medium-thickness plates: the differential quadrature method (DQM). Firstly, according to the equilibrium equations in the cylindrical coordinate system and based on the series asymptotic expansion assumption about the displacement field at the tip of the notch, the eigenvalue problem of the ordinary differential equations (ODEs) with respect to the singularity exponent at the notch tip of functionally graded bi-material medium-thickness plates was derived, and the radial boundary condition of the notch was expressed as a combination of the singularity exponent and the characteristic angular function. Then, under the DQM theory, the eigenvalue problem of ODEs was transformed into a standard-type eigenvalue problem of generalized algebraic equations, and the stress singularity index at the notch tip under the corresponding boundary condition was calculated for only one time, and was verified to be valid by a numerical example. Finally, the stress singularity index of functionally graded and pure metal/pure ceramic hybrid plates was calculated with the DQM. The research indicates that, the mixing of pure ceramic plates and pure metal plates with functional gradient plates has different effects on the stress singularity index, respectively, with the change of the notch angle.
Fluid Mechanics
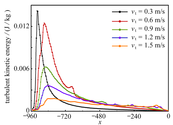
Study on the Motion Characteristics of Suction-Based Deep-Sea Polymetallic Nodule Mining
XUE Jingtian, XIA Qiu, JIA Hao, LI Chen
2025, 46(12): 1598-1611. doi: 10.21656/1000-0887.450329
Abstract(403) HTML (201) PDF(31)
Abstract:
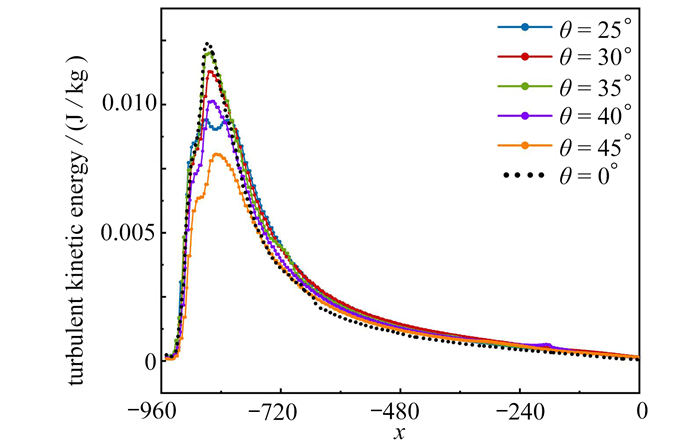
Polymetallic nodule mineral resources are distributed planarly in the form of coarse-grained nodules on the deep seabed. Owing to the fragility of the deep-sea environment and the urgency of environmental protection of the international seabed, it is of practical significance to study the collection rate and the disturbance of the seabed under different operating conditions during the movement of the mineral collecting device. A coupled computational fluid dynamics and discrete element method (CFD-DEM) was used to simulate the collection process of coarse-grained ore under the action of a suction collector pipe. The results show that, the tilted placement of the pipe facilitates the pumping of massive ores on the downstream side of the pipe, which is conducive to improving the particle collection rate. The horizontal movement of the collector pipe and the suction movement of the pipeline form a superposition of disturbances to the flow field; under the superposed disturbances, the particle collection rate increases and then decreases with the collector pipe horizontal movement speed, and increases with the collector pipe tilt angle to a certain extent. The turbulent kinetic energy of the seafloor decreases with the collector pipe horizontal movement speed, and increases and then decreases with the collector pipe tilt angle. Comprehensive analysis indicates that, the collector pipe horizontal movement speed of 0.6 m/s and the collector pipe tilt angle of 45° are the optimal working conditions to meet the requirements of high collection rates and low environmental disturbances in the parameter range of the study. The results can be used as a reference for the design of deep-sea polymetallic nodule collecting devices with high collection rates and low environmental disturbances.
Applied Mathematics
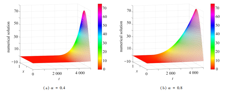
A Fully Discrete Discontinuous Galerkin Method for Fractional Convection Equations
LI Xiaoting, WANG Zhen
2025, 46(12): 1612-1621. doi: 10.21656/1000-0887.450341
Abstract(441) HTML (238) PDF(46)
Abstract:
Fractional derivatives have received extensive attention due to their advantages in describing anomalous phenomena in nature. The numerical solutions to a class of convection equations containing temporal Caputo-Hadamard fractional derivatives were studied. The L1 method was adopted to approximate the time derivative, and the discontinuous Galerkin finite element method was used to approximate the spatial direction, thus to obtain the fully discrete numerical scheme for the equations. With the discrete Gronwall inequality, the stability, convergence and error estimates of the scheme were analyzed. Finally, numerical examples verify the correctness of the proposed theoretical method.
Fixed-Time Synchronization of Time-Delayed Memristive Neural Networks With Application to Confidential Communication
XUE Yanbin, TONG Dongbing, CHEN Qiaoyu, MAO Qi
2025, 46(12): 1622-1630. doi: 10.21656/1000-0887.450304
Abstract(426) HTML (286) PDF(35)
Abstract:
The fixed-time synchronization of time-delayed memristive neural networks and its application in confidential communication was studied. To effectively solve the problem of finite-time synchronization control relying on initial conditions, the Lyapunov stability theory was used to obtain sufficient conditions for fixed-time synchronization of the master-slave system and upper bounds for the settling time through the designed state feedback controller. On this basis, the time-delayed memristive neural network was taken as the transmitter and its response system as the receiver, and the signal encryption was implemented by means of chaotic masking, to enable the recovery of the encrypted signal within a fixed time and ensure the security and timeliness of confidential communication.
Cover And Contents
Cover And Contents
2025, 46(12)
Abstract(453) PDF(347)
Abstract: