2026 Vol. 47, No. 1

Chief Editor’s Note
The Eighth Qian Lingxi Computational Mechanics Youth Award Invited Paper
A Design Method for Conformal Lattice Variable Density Control of Irregular Structures
LUO Wei, FENG Shaojun, HAO Peng, HUO Zekai, GAO Yong, JIAO Shikun
2026, 47(1): 1-14. doi: 10.21656/1000-0887.460062
Abstract(295) HTML (144) PDF(59)
Abstract:
To address the challenges of complex modeling and filling of conformal lattices in irregular load-bearing structures, as well as the difficulty in optimization caused by a surge in design variables due to large-scale unit cells, a conformal lattice variable density control design method based on functional descriptions was proposed. The parametric modeling method for conformal lattices based on mesh deformation was developed, enabling rapid lattice filling for irregular structures. Furthermore, a lattice unit cell size control method based on piecewise cubic Hermite interpolating polynomials and a lattice rod diameter control method based on surrogate models were proposed, to achieve fine control of the lattice and dimensionality reduction of design variables. On this basis, an optimization design framework for lattice structures based on an adaptively updated dynamic surrogate model was established, to realize rapid optimization design of lattice control parameters. Two engineering case studies, including the strain energy optimization of rocket payload adapters and the buckling optimization of irregular load-bearing cabin structures for aircraft, validates the proposed method. The comprehensive computational results show the effectiveness of the proposed method for different problems.
Interdisciplinary Mechanics
Research Progress, Hotspots and Trends of Peridynamics Based on Bibliometrics
GU Xin, GOU Wenqian, HUANG Dan, ZHANG Qing
2026, 47(1): 15-31. doi: 10.21656/1000-0887.460132
Abstract(475) HTML (162) PDF(82)
Abstract:
Peridynamics (PD) is a type of integral nonlocal continuum mechanics, originally developed for analyzing damage, fracture, and failure in solids and structures under complex loadings. It has since been extended to diverse problems including diffusion-transport, fluid mechanics, and multi-physics/chemistry couplings (thermal, electrical, magnetic, hygro, chemical). Recent years have witnessed increasingly diversified dimensions, deepening research focus, and broadening applications within the peridynamics field. Based on the bibliometric statistics and visual text-mining tool CiteSpace, PD's development history, current research hotspots, and future trends were reviewed. The research evolution of peridynamics can be categorized into the embryonic, the slow-growth, and the fast-growth periods. Leading contributing nations include China, the United States, the United Kingdom, Germany, Italy, and Türkiye. While the US maintains leadership across multiple domains, China exhibits the fastest growth rate, transitioning from following to paralleling and even leading in specific areas. Key research hotspots encompass PD theoretical modeling, numerical algorithms, dynamic crack propagation and severe fracture in solids, elastic-plastic/large deformation problems, multi-physics couplings (notably thermo-mechanical and fluid-solid), multi-scale and homogenization modeling of heterogeneous materials, coupling PD with other methods (e.g., PD-FEM, PD-SPH, PD-MD, PD-FVM), high-performance computing, and the integration of PD with machine learning. These areas are anticipated to remain central to future research of peridynamics.
Mechanical Property Prediction of Metal Cutting Based on Numerical Simulation and Decision Tree Regression
CHENG Yijin, FENG Zhiqiang, LI Yan
2026, 47(1): 32-45. doi: 10.21656/1000-0887.460102
Abstract(169) HTML (100) PDF(44)
Abstract:
Rapid prediction of mechanical properties of metal cutting is critical to optimal design and productivity improvement of industrial manufacturing. Current prediction models often require expensive and time-consuming experimental and analytical processes. A prediction model based on metal cutting simulation and decision tree regression was constructed to obtain mechanical properties under different cutting conditions. Firstly, the adaptive smoothed particle hydrodynamics (ASPH) was used to simulate the metal cutting process, capture a variety of mechanical properties under different simulation parameters, and form a simulation dataset of 2 000 cutting conditions. Secondly, the decision tree regression (DTR) was used to learn the simulation data set, train and construct the metal cutting prediction model, and evaluate the effect of the prediction model under different pruning strategies by cross-validation and grid search. The results show that, the established prediction model can quickly predict multi-mechanical properties under different simulation parameters, and the appropriate pruning strategy can improve the accuracy, generalization ability and stability of the prediction model.
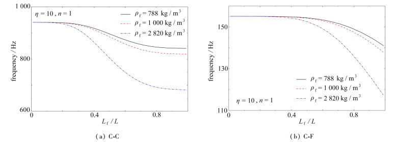
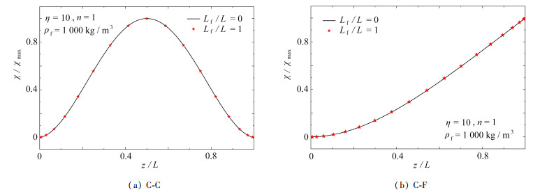
Transverse Vibration of Functionally Graded Material Cylinder Bars Dipped in Fluid
NIE Qianjun, LI Lianhe
2026, 47(1): 46-56. doi: 10.21656/1000-0887.450327
Abstract(205) HTML (96) PDF(41)
Abstract:
Based on the 1st-order shear deformation theory (FSDT) and the potential flow theory, the transverse vibration of functionally graded material (FGM) cylinder bars dipped in fluid was analyzed. The cermet bar material properties following a power-law distribution along the radial direction were represented by the radial gradient index. The fluid velocity potential and hydrodynamic loads were determined through solution of the Laplace equation in cylindrical coordinates with the variable separation method. The governing equations of motion were derived according to Hamilton's principle. The fundamental frequencies and mode shapes were obtained with the generalized differential quadrature (GDQ) method and the direct iteration method. Additionally, the finite element analysis (CEL simulation) was used to validate the numerical results. Through parametric studies, the effects of the length-to-diameter ratio, the gradient index, the boundary conditions, as well as the fluid depth and density, on the transverse vibration behavior of the FGM bar-fluid interaction system were evaluated.
Solid Mechanics
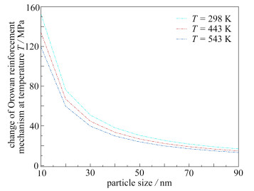
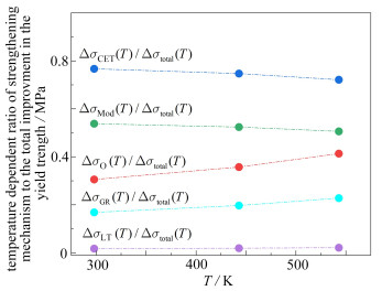
A Theoretical Characterization Model for Temperature-Dependent Yield Strengths of Metal Matrix Composites Reinforced With Nanoparticles
WANG Yilin, LI Weiguo, MA Jianzuo
2026, 47(1): 57-67. doi: 10.21656/1000-0887.460044
Abstract(250) HTML (138) PDF(41)
Abstract:
Through quantitative characterization of the effects of various strengthening mechanisms on the yield strengths of nanoparticle-reinforced metal matrix composites (NRMMCs) within a wide temperature range, as well as the impacts of grain boundary sliding on the yield strength of the metal matrix, a theoretical characterization model for the temperature-dependent yield strengths of NRMMCs without fitting parameters was established. This model only requires the yield strength of the metal matrix at any one reference temperature and relevant material parameters such as the specific heat capacity, the thermal expansion coefficient, and the melting point, etc., to predict the yield strengths of the NRMMCs at any temperature. The predicted results of the model are in good agreement with all the 4 sets of experimental data currently available, achieving a reasonable prediction of the yield strengths of the NRMMCs within a wide temperature range. On this basis, the effects of the main strengthening mechanisms on the yield strengths of the NRMMCs and their evolution laws with the temperature and the particle size were discussed, to provide a theoretical basis and effective suggestions for the design and development of NRMMCs applicable to a wide temperature range.
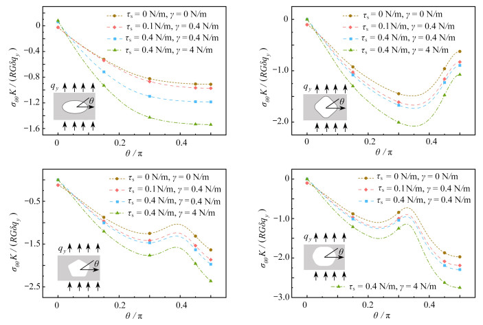
On the Characterization of Effective Detection Depths and Thickness-Direction Inhomogeneous Stresses With the LCR Wave Method
ZHANG Chunli, MA Nannan, WENG Yilin, ZHU Jun, CHEN Weiqiu
2026, 47(1): 68-78. doi: 10.21656/1000-0887.460057
Abstract(217) HTML (109) PDF(42)
Abstract:
The longitudinal critically refracted (LCR) wave method demonstrates significant advantages in non-destructive testing of structural stresses. However, the current LCR wave technique lacks a physically meaningful analytical relationship between effective detection depths and excitation frequencies of incident waves, and cannot be applied to measure non-uniform stress distributions along the component thickness. To address these limitations, an analytical expression for the correlation between effective detection depths and excitation frequencies in the LCR wave method-based stress measurements, was derived. A stepwise difference algorithm was proposed for characterizing non-uniform stress fields with the LCR wave method, and through numerical simulations to validate its effectiveness in measuring inhomogeneous stress distributions.
Series Solutions for Non-Circular Nanoholes With Surface Effects Under Uniform Heat Flux
ZHANG Yu, ZHAO Jieyan, YANG Haibing
2026, 47(1): 79-89. doi: 10.21656/1000-0887.450308
Abstract(185) HTML (102) PDF(43)
Abstract:
The 2D plane problem of non-circular nanoholes under uniform far-field heat flow was investigated. To examine the effects of surface phonon scattering on heat conduction at the microscale, a weakly thermal conductivity model considering temperature jump was introduced, and the complete Gurtin-Murdoch lower-order surface energy model was employed to characterize the surface effects. Based on the theory of complex functions and series expansion, the series solutions for the temperature field and the thermal stress field were obtained corresponding to different hole shapes defined with the conformal mapping techniques. Several numerical examples of non-circular nanoholes were presented to analyze the surface effects on thermal stress fields. The results indicate that, surface effects significantly increase the thermal stresses around the nanohole, and the combined action of surface elasticity and surface tension plays a key role in determining the magnitude of the thermal stress.
Applied Mathematics
Pattern Evolution in a Predator-Prey System Driven by Cross-Diffusion and Double Allee Effects
YANG Feng, XIAO Min, YANG Zhengwu, DUAN Daifeng, YANG Xinsong, CAO Jinde
2026, 47(1): 90-100. doi: 10.21656/1000-0887.460002
Abstract(227) HTML (112) PDF(45)
Abstract:
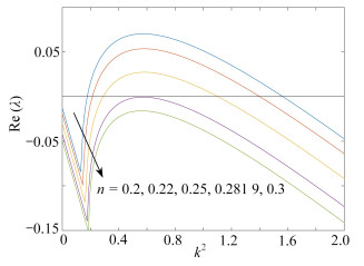
The Holling- Ⅱ functional responses and an improved Leslie-Gower term were considered to establish a cross-diffusion predator-prey model with double Allee effects. The existence and stability of positive equilibrium points were analyzed in the absence of diffusion to provide conditions for Turing instability under the diffusion effects. The influential mechanisms of the double Allee effects on the pattern formation, the structural changes, and the evolutionary speed was mainly investigated. The findings reveal that, in stable diffusion-driven systems, the Allee effects can induce pattern formation; conversely, in unstable systems, the Allee effects can lead to structural changes in patterns. Additionally, the time required for the system to reach stable homogeneous and mixed patterns varies with different Allee effects coefficients, indicating that the Allee effects can significantly alter the evolutionary speed of patterns. Therefore, the double Allee effects plays a crucial role in the formation and evolution of Turing patterns in predator-prey systems.
Global Exponential Synchronization of a Class of Memristive Neural Networks With Proportional Delays and Uncertain Parameters
GUO Yuxian, ZHOU Liqun
2026, 47(1): 101-112. doi: 10.21656/1000-0887.460008
Abstract(240) HTML (108) PDF(48)
Abstract:
The global exponential synchronization of a class of memristive neural networks with proportional delays and uncertain parameters was studied. Firstly, the error system of the drive-response systems was established. Secondly, the exponential function was introduced and an adaptive controller was designed, to divide the error system into 4 cases according to the switching characteristics of the system, then the proper Lyapunov functional was constructed and combined with the mean value inequality, and the global exponential synchronization criterion for the studied system was obtained. Meanwhile, the case of global exponential synchronization degenerating into global asymptotic synchronization was considered. Finally, the effectiveness of the obtained criterion was verified through a numerical example and simulation.
An Efficient Energy-Preserving Numerical Algorithm for Nonlinear Wave Equations
XIE Jianqiang, WANG Can
2026, 47(1): 113-122. doi: 10.21656/1000-0887.460090
Abstract(230) HTML (105) PDF(53)
Abstract:
An energy-preserving numerical algorithm, which is 2nd-order in time and 4th-order in space, for nonlinear wave equations was developed based on the order reduction method, the Lagrange multiplier method and the compact difference method. The discrete original energy conservation property of the suggested algorithm was proven. The computational procedure of the associated algorithm was exhibited. Numerical results validate the exactness and effectiveness of the proposed algorithm.
Cover And Contents
Cover And Contents
2026, 47(1)
Abstract(238) PDF(44)
Abstract:
Chief Editor's Note
2026, 47(1): i-iv.
Abstract(264) HTML (103) PDF(85)
Abstract: