• Scopus收录
  • CSCD来源期刊
  • 中文核心期刊

留言板

尊敬的读者、作者、审稿人, 关于本刊的投稿、审稿、编辑和出版的任何问题, 您可以本页添加留言。我们将尽快给您答复。谢谢您的支持!

姓名
邮箱
手机号码
标题
留言内容
验证码

射流通道内方柱发热器件的几何设计

饶凯 谢志辉 关潇男 孟凡凯 戈延林

饶凯,谢志辉,关潇男,孟凡凯,戈延林. 射流通道内方柱发热器件的几何设计 [J]. 应用数学和力学,2022,43(9):955-965 doi: 10.21656/1000-0887.420166
引用本文: 饶凯,谢志辉,关潇男,孟凡凯,戈延林. 射流通道内方柱发热器件的几何设计 [J]. 应用数学和力学,2022,43(9):955-965 doi: 10.21656/1000-0887.420166
RAO Kai, XIE Zhihui, GUAN Xiaonan, MENG Fankai, GE Yanlin. Geometry Design of Square Column Heating Devices in Jet Channels[J]. Applied Mathematics and Mechanics, 2022, 43(9): 955-965. doi: 10.21656/1000-0887.420166
Citation: RAO Kai, XIE Zhihui, GUAN Xiaonan, MENG Fankai, GE Yanlin. Geometry Design of Square Column Heating Devices in Jet Channels[J]. Applied Mathematics and Mechanics, 2022, 43(9): 955-965. doi: 10.21656/1000-0887.420166

射流通道内方柱发热器件的几何设计

doi: 10.21656/1000-0887.420166
基金项目: 国家自然科学基金(51979278; 51579244; 51506220)
详细信息
    作者简介:

    饶凯(1989—),男,硕士生(E-mail:superior2345@ qq.com

    谢志辉(1977—),男,教授,博士生导师(通讯作者. E-mail:zhihui-xie@163.com

    关潇男(1997—),男,硕士生(E-mail:2601282251@qq.com

    孟凡凯(1982—),男,讲师(E-mail:782601028@qq.com

    戈延林(1979—),男,副教授(E-mail:geyali9@hotmail.com

  • 中图分类号: O35; TK123

Geometry Design of Square Column Heating Devices in Jet Channels

  • 摘要:

    基于构形理论,建立了二维射流通道内导热基座上方柱离散热源的散热优化模型。给定离散热源的总纵截面面积和热源高度为约束条件,以系统最高温度和熵产率为优化目标,以各热源的长度比为优化变量进行了几何设计,并分析了射流速度和热源间距对热源最优构形的影响。当射流速度和热源间距给定时,均存在最优长度比使系统最高温度和熵产率最低,但对应不同射流速度和热源间距的最优长度比不同。研究结果可为方柱发热器件的热设计提供理论指导。

  • 图  1  热源几何模型图

    Figure  1.  The geometric model for heat sources

    图  2  整体网格图

    Figure  2.  The overall grid pattern

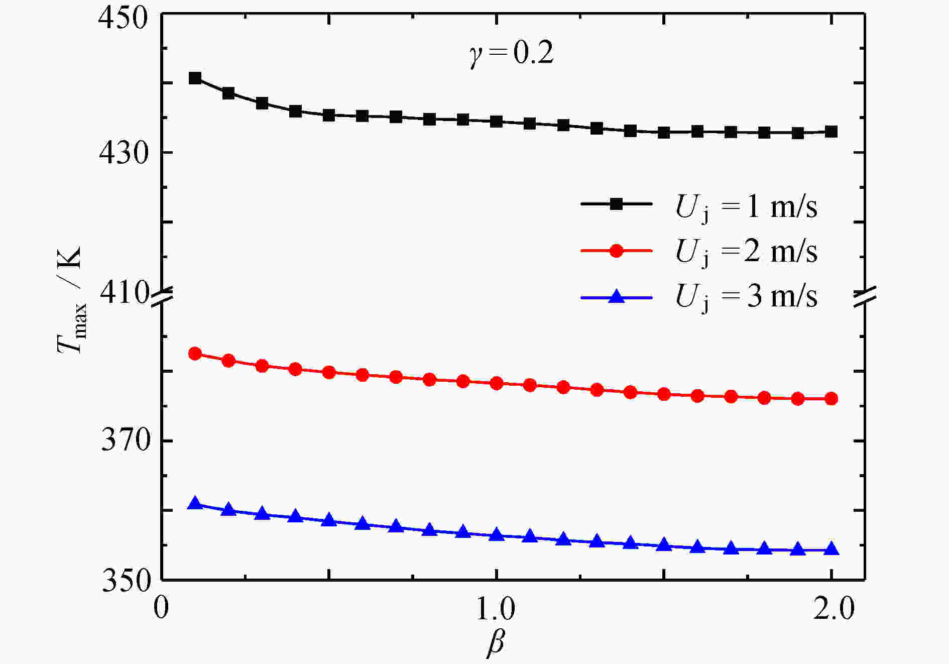
    图  3  γ= 0.2时,UjTmaxβ关系的影响

    Figure  3.  Effects of Uj on the relationship of Tmax vs. β for γ= 0.2

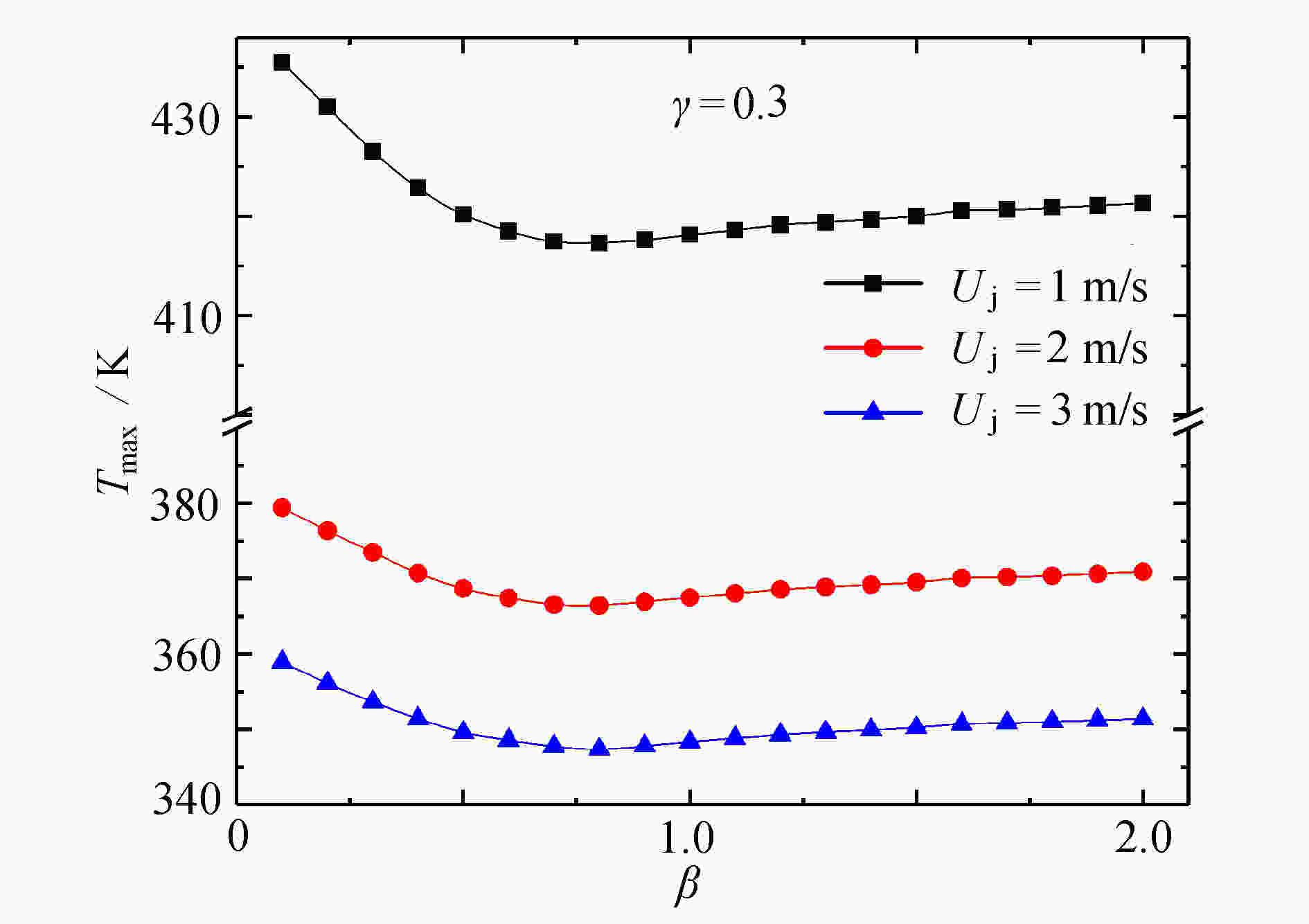
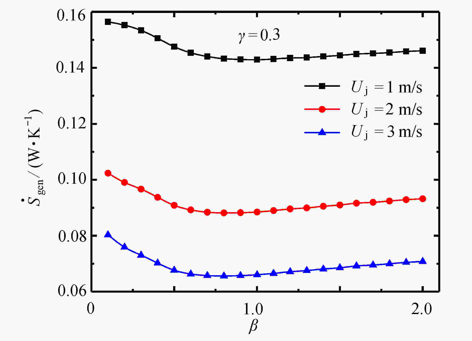
    图  4  γ= 0.3时,UjTmaxβ关系的影响

    Figure  4.  Effects of Uj on the relationship of Tmax vs. β for γ= 0.3

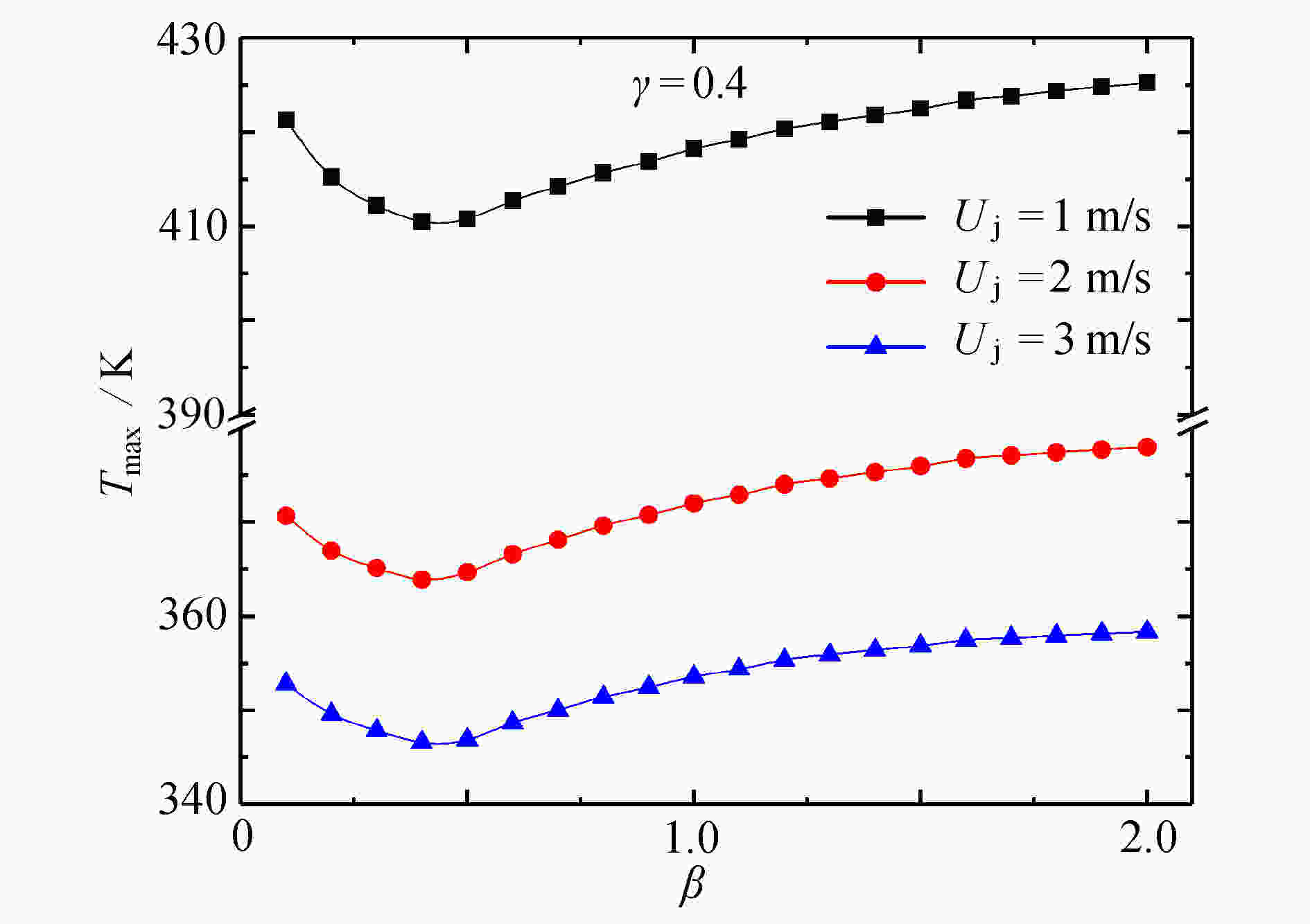
    图  5  γ= 0.4时,UjTmaxβ关系的影响

    Figure  5.  Effects of Uj on the relationship of Tmax vs. β for γ= 0.4

    图  6  γ=0.2, β= 2,Uj =3 m/s时,温度的等值线图

    Figure  6.  The temperature contour map for γ=0.2, β=2, Uj=3 m/s

    图  7  γ=0.3, β=0.8, Uj = 3 m/s时,温度的等值线图

    Figure  7.  The temperature contour map for γ=0.3, β=0.8, Uj=3 m/s

    图  8  γ=0.4, β=0.4, Uj = 3 m/s时,温度的等值线图

    Figure  8.  The temperature contour map for γ=0.4, β=0.4, Uj =3 m/s

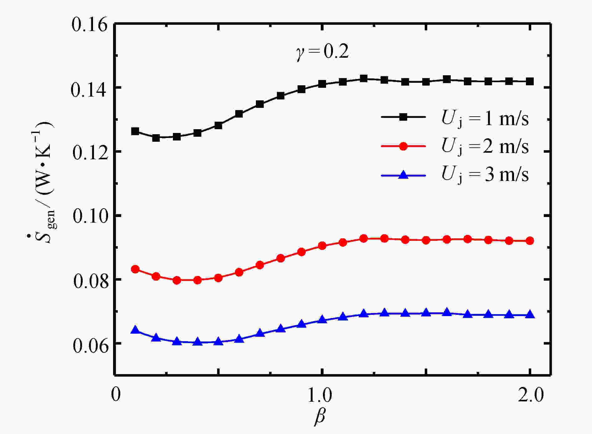
    图  9  γ=0.2时,Uj${\dot S_{ {\rm{gen}}}}$β关系的影响

    Figure  9.  Effects of Uj on the relationship of ${\dot S_{ {\rm{gen}}}}$ vs. β for γ=0.2

    图  10  γ=0.3时,Uj${\dot S_{ {\rm{gen}}}}$β关系的影响

    Figure  10.  Effects of Uj on the relationship of ${\dot S_{ {\rm{gen}}}}$ vs. β for γ=0.3

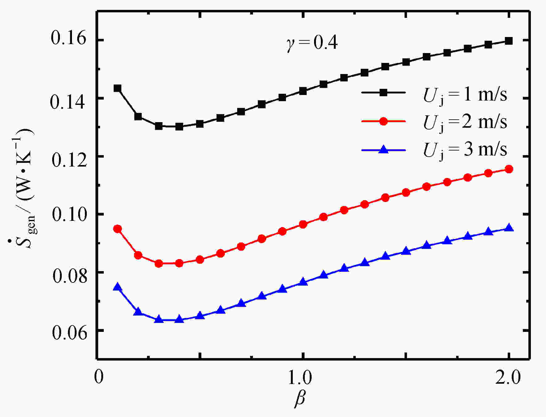
    图  11  γ=0.4时,Uj${\dot S_{ {{\rm{gen}}}}}$β关系的影响

    Figure  11.  Effects of Uj on the relationship of ${\dot S_{ {{\rm{gen}}}}}$ vs. β for γ=0.4

    图  12  γ=0.2, β=2, Uj = 3 m/s时,通道纵截面的速度分布图

    Figure  12.  The velocity profile of the channel longitudinal section for γ=0.2, β=2, Uj = 3 m/s

    图  13  γ=0.3, β=0.8, Uj = 3 m/s时,通道纵截面的速度分布云图

    Figure  13.  The velocity profile of the channel longitudinal section for γ=0.3, β=0.8, Uj = 3 m/s

    图  14  γ=0.4, β=0.4, Uj = 3 m/s时,通道纵截面的速度分布云图

    Figure  14.  The velocity profile of the channel longitudinal section for γ=0.4, β=0.4, Uj = 3 m/s

    表  1  网格独立性检验

    Table  1.   The grid independence test

    order numbernumber of units NTmax/K$| {( {T_{ {\rm{\max} } }^{j + 1} - T_{ {\rm{\max} } }^j} )/T_{ {\rm{\max } } }^j} |/\text{%}$
    129 085432.67
    269 132434.120.34
    3108 055434.970.2
    下载: 导出CSV

    表  2  模型有效性验证

    Table  2.   Validation of the model

    $\tilde H$0.10.2
    b0.465 20.483 5
    $\tilde T$[22]7.233 913.650 9
    $\tilde T$7.191 513.534 3
    下载: 导出CSV

    表  3  不同Uj时,Tmax,min及对应的几何参数

    Table  3.   Tmax,min and its corresponding geometric parameters for different Uj values

    Uj/(m·s−1)γβoptTmax,min/K
    10.22433
    10.30.8417.5
    10.40.4410.5
    20.22376
    20.30.8362.8
    20.40.4360.2
    30.22354.3
    30.30.8342.6
    30.40.4341.5
    下载: 导出CSV

    表  4  不同Uj时,${\dot S_{ {\rm{gen}},\min }}$及对应的几何参数

    Table  4.   ${\dot S_{ {\rm{gen}},\min }}$ and its corresponding geometric parameters for different Uj values

    Uj/(m·s−1)γβopt${\dot S_{ {\rm{gen,\min } } } }/({\rm{W \cdot K} }^{-1})$
    10.20.40.12575
    10.30.90.14298
    10.40.40.13021
    20.20.30.07972
    20.30.80.088153
    20.40.30.083012
    30.20.40.060294
    30.30.80.06559
    30.40.40.07022
    下载: 导出CSV
  • [1] ERP R V, SOLEIMANZADEH R, NELA L, et al. Co-designing electronics with microfluidics for more sustainable cooling[J]. Nature, 2020, 585(7824): 211-216. doi: 10.1038/s41586-020-2666-1
    [2] RAVANJI A, ZARGARABADI M R. Effects of pin-fin shape on cooling performance of a circular jet impinging on a flat surface[J]. International Journal of Thermal Sciences, 2021, 161: 106684. doi: 10.1016/j.ijthermalsci.2020.106684
    [3] LIU J, HUSSAIN S, WANG W, et al. Experimental and numerical investigations of heat transfer and fluid flow in a rectangular channel with perforated ribs[J]. International Communications in Heat and Mass Transfer, 2021, 121: 105083. doi: 10.1016/j.icheatmasstransfer.2020.105083
    [4] JIN W, WU J M, JIA N, et al. Effect of shape and distribution of pin-fins on the flow and heat transfer characteristics in the rectangular cooling channel[J]. International Journal of Thermal Sciences, 2021, 161: 106758. doi: 10.1016/j.ijthermalsci.2020.106758
    [5] 许丽娜, 菅永军. 柔性圆柱形微管道内的电动流动及传热研究[J]. 应用数学和力学, 2019, 40(4): 408-418

    XU Lina, JIAN Yongjun. Electrokinetic flow and heat transfer in soft microtubes[J]. Applied Mathematics and Mechanics, 2019, 40(4): 408-418.(in Chinese)
    [6] 李迎雪, 王浩原, 娄钦. 含多个矩形加热器通道内流动沸腾传热性能的介观数值方法研究[J]. 应用数学和力学, 2022, 43(7): 728-740

    LI Yingxue, WANG Haoyuan, LOU Qin. Mesoscopic numerical study on flow boiling heat transfer performance in channels with multiple rectangular heaters[J]. Applied Mathematics and Mechanics, 2022, 43(7): 728-740.(in Chinese)
    [7] RUNDSTROEM D, MOSHFEGH B. Investigation of heat transfer and pressure drop of an impinging jet in a cross-flow for cooling of a heated cube[J]. Journal of Heat Transfer, 2008, 130(12): 320-327.
    [8] MEGHDIR A, BENABDALLAH T, DELLIL A. Impact of geometry of electronic components on cooling improvement[J]. International Journal of Heat and Technology, 2019, 37(1): 167-178. doi: 10.18280/ijht.370121
    [9] BEJAN A. Entropy Generation Through Heat and Fluid Flow[M]. New York: Wiley, 1982.
    [10] BEJAN A. Entropy Generation Minimization[M]. New York: Wiley, 1996.
    [11] REHMAN M M U, CHEEMA T A, AHMAD F, et al. Thermodynamic assessment of microchannel heat sinks with novel sidewall ribs[J]. Journal of Thermophysics and Heat Transfer, 2020, 34(2): 243-254. doi: 10.2514/1.T5770
    [12] PATI S, ROY R, DEKA N, et al. Optimal heating strategy for minimization of peak temperature and entropy generation for forced convective flow through a circular pipe[J]. International Journal of Heat and Mass Transfer, 2020, 150: 119318. doi: 10.1016/j.ijheatmasstransfer.2020.119318
    [13] KINGSTON D, WILHELMSEN Ø, KJELSTRUP S. Minimum entropy production in a distillation column for air separation described by a continuous non-equilibrium model[J]. Chemical Engineering Science, 2020, 218: 115539. doi: 10.1016/j.ces.2020.115539
    [14] BEJAN A. Street network theory of organization in nature[J]. Journal of Advanced Transportation, 1996, 30(2): 85-107. doi: 10.1002/atr.5670300207
    [15] BEJAN A, LORENTE S. Design With Constructal Theory[M]. New Jersey: Wiley, 2008.
    [16] CHEN L G. Progress in study on constructal theory and its applications[J]. Science China: Technological Sciences, 2012, 55(1): 802-820.
    [17] CHEN L G, FENG H J, XIE Z H, et al. Progress of constructal theory in China over the past decade[J]. International Journal of Heat and Mass Transfer, 2019, 130: 393-419. doi: 10.1016/j.ijheatmasstransfer.2018.10.064
    [18] CHEN L G, WU W J, FENG H J. Consturctal Design for Heat Conduction[M]. London: Book Publisher International, 2021.
    [19] WANG L, XIE Z H, CHEN L G, et al. Equivalent thermal resistance minimization for a circular disc heat sink with reverting microchannels based on constructal theory and entransy theory[J]. Science China: Technological Sciences, 2021, 64(1): 111-121. doi: 10.1007/s11431-020-1578-6
    [20] MUSTAFA A W, GHANI I A. Maximization of heat transfer density from a vertical array of flat tubes in cross flow under fixed pressure drop using constructal design[J]. Heat Transfer: Asian Research, 2019, 48(8): 3489-3507. doi: 10.1002/htj.21551
    [21] ABBAS N Y, MUSTAFA A W, ASKER M K A A. Constructal design of longitudinally finned tubes cooled by forced convection[J]. Heat Transfer, 2020, 49(3): 5-9.
    [22] AHMED W M, HAJIR H A E. Constructal design of multiscale elliptic tubes in crossflow[J]. Heat Transfer, 2020, 49(4): 12-16.
    [23] YU M J, FENG X, LAI X T, et al. Study of oscillating flows through a novel constructal bifurcation Stirling regenerator[J]. Applied Thermal Engineering, 2021, 184: 116413. doi: 10.1016/j.applthermaleng.2020.116413
    [24] GONG S W, CHEN L G, FENG H J, et al. Constructal optimization of cylindrical heat sources surrounded with a fin based on minimization of hot spot temperature[J]. International Communications in Heat and Mass Transfer, 2015, 68: 1-7. doi: 10.1016/j.icheatmasstransfer.2015.08.004
    [25] 范旭东, 谢志辉, 孙丰瑞, 等. 变物性条件下基于(火 积)理论的圆柱体热源构形研究[J]. 工程热物理学报, 2016, 37(9): 1994-1999

    FAN Xudong, XIE Zhihui, SUN Fengrui, et al. Constructal investigation of a cylindrical heat source based on entransy theory with temperature-dependent properties[J]. Journal of Engineering Thermophysics, 2016, 37(9): 1994-1999.(in Chinese)
    [26] 王刚, 谢志辉, 范旭东, 等. 离散发热器件基于(火 积)耗散率最小和最高温度最小的构形优化比较[J]. 物理学报, 2017, 66(20): 130-138 doi: 10.7498/aps.66.204401

    WANG Gang, XIE Zhihui, FAN Xudong, et al. Constructal optimization of discrete heating devices based on entransy dissipation rate and maximum temperature minimization[J]. Acta Physica Sinica, 2017, 66(20): 130-138.(in Chinese) doi: 10.7498/aps.66.204401
    [27] TEIXEIRA F B, LORENZINI G, ERRERA M R, et al. Constructal design of triangular arrangements of square bluff bodies under forced convective turbulent flows[J]. International Journal of Heat and Mass Transfer, 2018, 126(A): 521-535.
    [28] AGHENESE A P D, TEIXEIRA F B, ROCHA L A O. Geometric evaluation of four staggered cylinders array subjected to forced convective flows by means of constructal design[J]. Thermal Engineering, 2019, 18(1): 57-63.
    [29] RAZERA A L, QUEZADA L A, FAGUNDES T M. Fluid flow and heat transfer maximization of elliptic cross-section tubes exposed to forced convection: a numerical approach motivated by Bejan’s theory[J]. International Communications in Heat and Mass Transfer, 2019, 109: 104366. doi: 10.1016/j.icheatmasstransfer.2019.104366
    [30] WANG R, XIE Z H, YIN Y, et al. Constructal design of elliptical cylinders with heat generating for entropy generation minimization[J]. Entropy, 2020, 22(6): 651. doi: 10.3390/e22060651
  • 加载中
图(14) / 表(4)
计量
  • 文章访问数:  740
  • HTML全文浏览量:  313
  • PDF下载量:  45
  • 被引次数: 0
出版历程
  • 收稿日期:  2021-06-16
  • 修回日期:  2022-07-05
  • 网络出版日期:  2022-09-28
  • 刊出日期:  2022-09-30

目录

    /

    返回文章
    返回