• Scopus收录
  • CSCD来源期刊
  • 中文核心期刊

留言板

尊敬的读者、作者、审稿人, 关于本刊的投稿、审稿、编辑和出版的任何问题, 您可以本页添加留言。我们将尽快给您答复。谢谢您的支持!

姓名
邮箱
手机号码
标题
留言内容
验证码

考虑记忆效应及尺寸效应窄长薄板的磁-热弹性耦合动态响应

马永斌 李东升

马永斌,李东升. 考虑记忆效应及尺寸效应窄长薄板的磁-热弹性耦合动态响应 [J]. 应用数学和力学,2022,43(8):888-900 doi: 10.21656/1000-0887.420200
引用本文: 马永斌,李东升. 考虑记忆效应及尺寸效应窄长薄板的磁-热弹性耦合动态响应 [J]. 应用数学和力学,2022,43(8):888-900 doi: 10.21656/1000-0887.420200
MA Yongbin, LI Dongsheng. Magneto-Thermoelastic Coupling Dynamic Responses of Narrow Long Thin Plates Under Memory Effects and Size Effects[J]. Applied Mathematics and Mechanics, 2022, 43(8): 888-900. doi: 10.21656/1000-0887.420200
Citation: MA Yongbin, LI Dongsheng. Magneto-Thermoelastic Coupling Dynamic Responses of Narrow Long Thin Plates Under Memory Effects and Size Effects[J]. Applied Mathematics and Mechanics, 2022, 43(8): 888-900. doi: 10.21656/1000-0887.420200

考虑记忆效应及尺寸效应窄长薄板的磁-热弹性耦合动态响应

doi: 10.21656/1000-0887.420200
基金项目: 国家自然科学基金(12062011;11972176)
详细信息
    作者简介:

    马永斌(1974—),男,副教授,博士,硕士生导师(通讯作者.  E-mail:1373794737@qq.com

  • 中图分类号: O343

Magneto-Thermoelastic Coupling Dynamic Responses of Narrow Long Thin Plates Under Memory Effects and Size Effects

  • 摘要:

    引入记忆依赖微分的双相滞后热弹性理论能较完善地描述非Fourier导热现象,然而迄今尚未发现该理论综合考虑微尺度效应和磁、热、弹等多场耦合效应对材料力学行为的影响。通过考虑记忆依赖效应和非局部效应修正了双相滞后广义热弹性理论,基于改进后的理论研究了受周期性变化热源作用时窄长薄板的磁-热弹性耦合问题。首先建立问题的控制方程;然后结合边界条件与初值条件,利用Laplace变换和反变换技术对该问题进行求解;最后分别考察了磁场、相位滞后、时间延迟因子、核函数、非局部效应、时间对各无量纲量的影响,为微尺度材料的动态响应提供了有力参考依据。

  • 图  1  板受磁场和热作用示意图

    Figure  1.  A plate in a magnetic field under thermal shock

    图  2  磁场取不同值时温度θ的变化情况

    Figure  2.  The variation of temperature θ for different values of the magnetic field

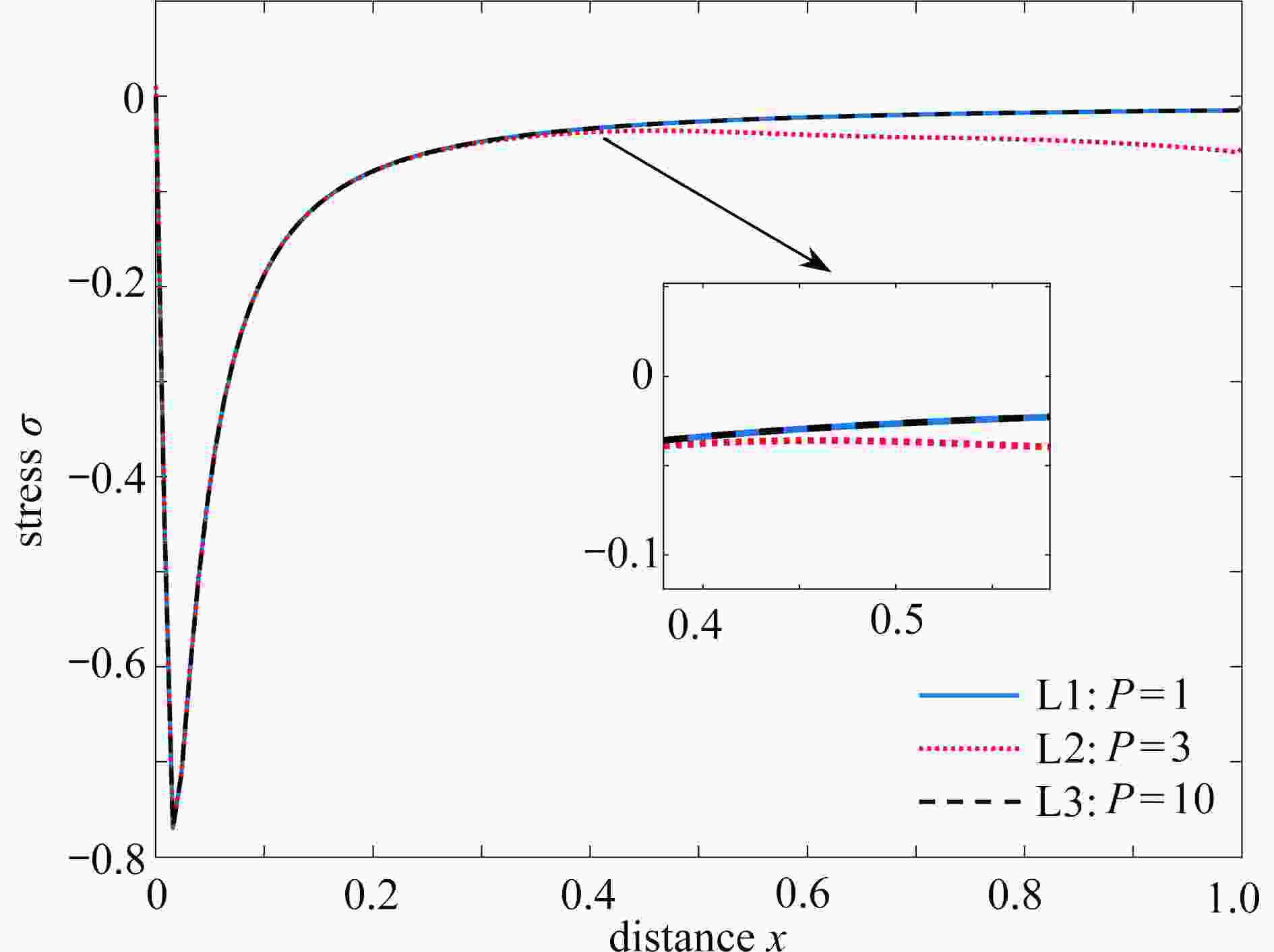
    图  4  磁场取不同值时应力σ的变化情况

    Figure  4.  The variation of stress σ for different values of the magnetic field

    图  3  磁场取不同值时位移u的变化情况

    Figure  3.  The variation of displacement u for different values of the magnetic field

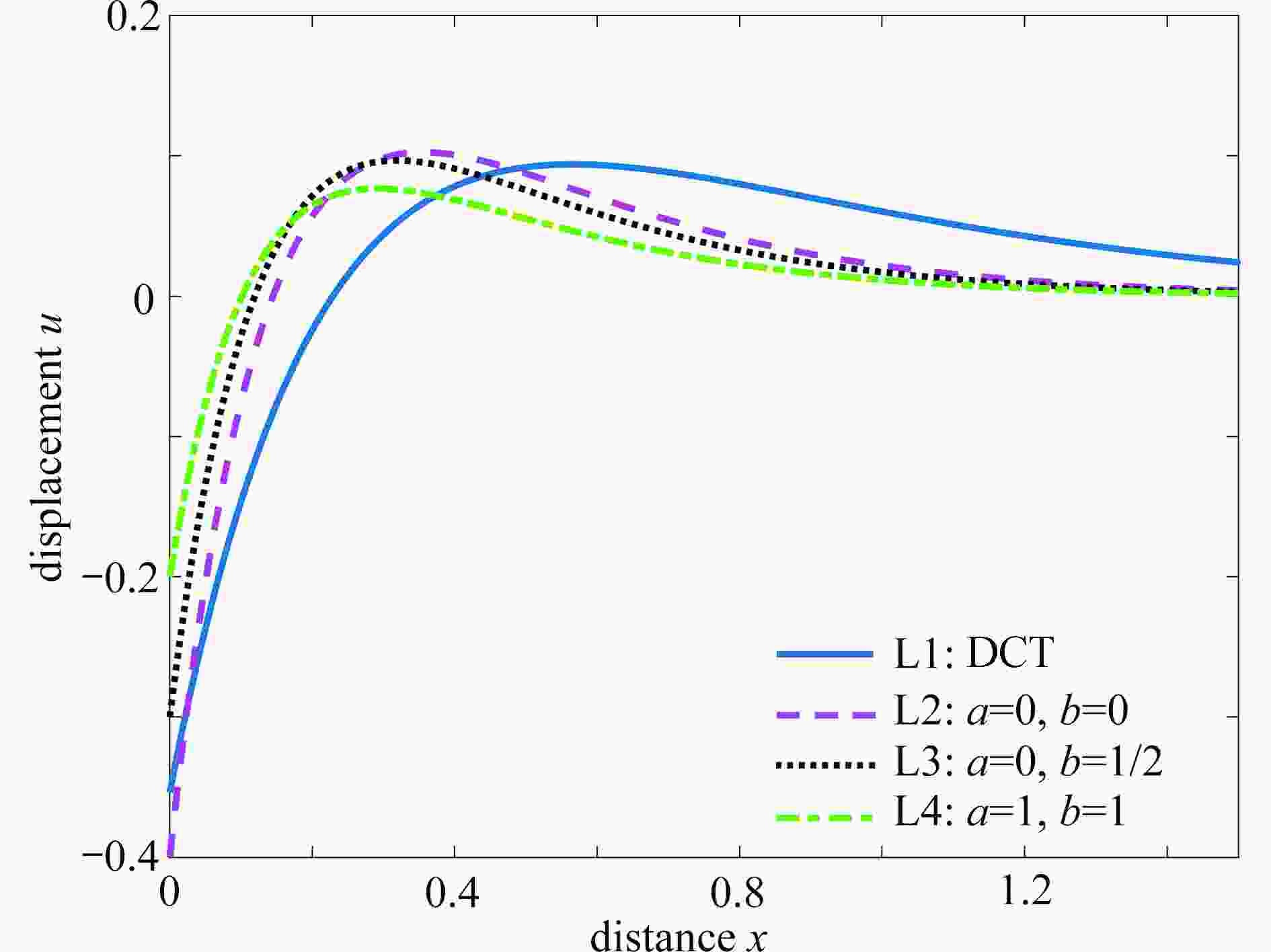
    图  5  核函数取不同形式时温度θ的变化情况

    Figure  5.  The variation of temperature θ for different forms of the kernal function

    图  6  核函数取不同形式时位移u的变化情况

    Figure  6.  The variation of displacement u for different forms of the kernal function

    图  7  核函数取不同形式时应力σ的变化情况

    Figure  7.  The variation of stress σ for different forms of the kernal function

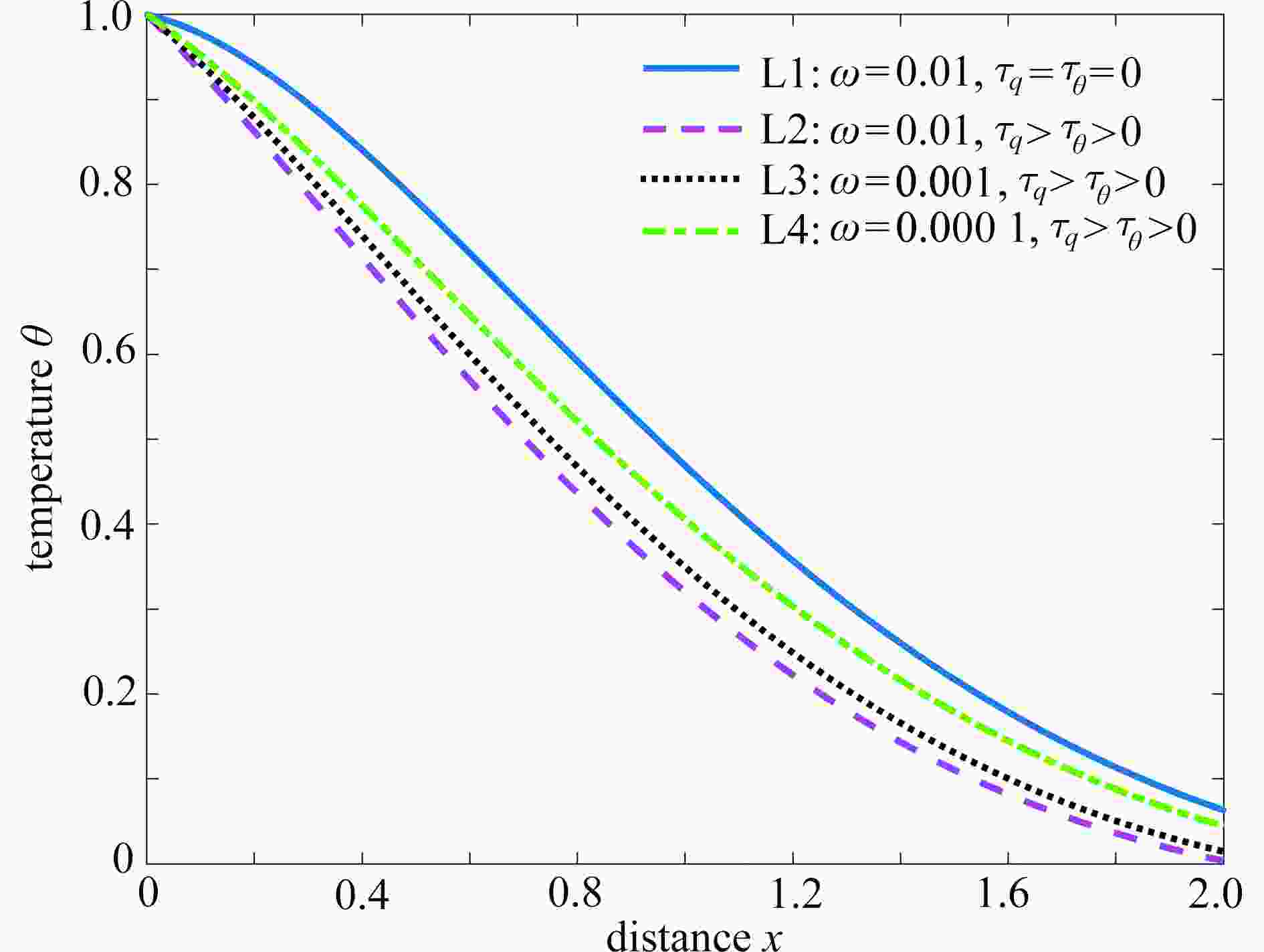
    图  8  $ {\tau _q} $$ {\tau _\theta } $$ \omega $取不同值时温度θ的变化情况

    Figure  8.  The variation of temperature θ for different values of $ {\tau _q} $, $ {\tau _\theta } $ and $ \omega $

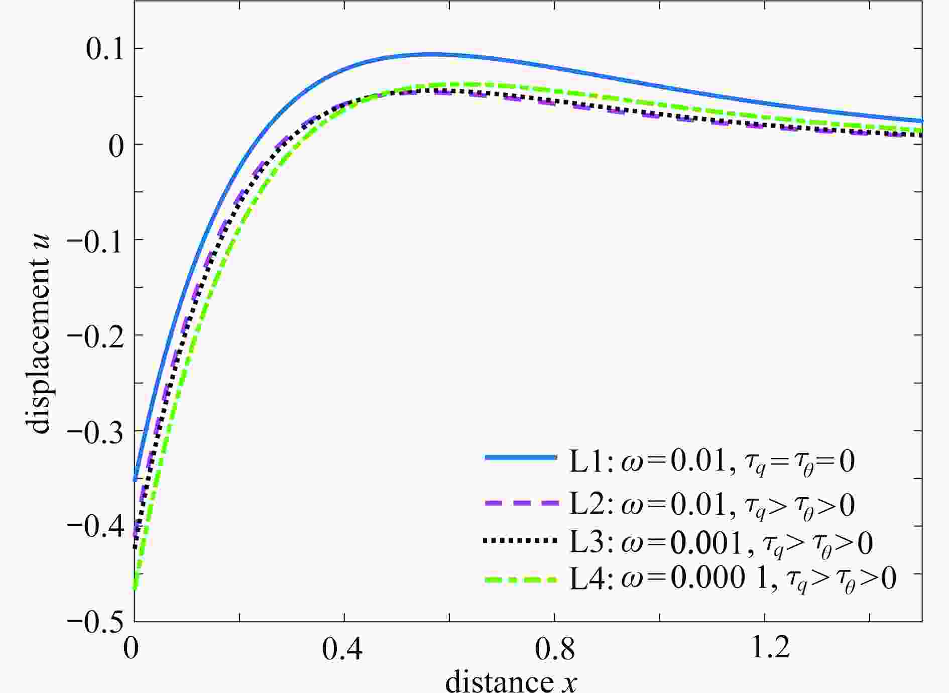
    图  9  $ {\tau _q} $$ {\tau _\theta } $$ \omega $取不同值时位移u的变化情况

    Figure  9.  The variation of displacement u for different values of $ {\tau _q} $, $ {\tau _\theta } $ and $ \omega $

    图  10  $ {\tau _q} $$ {\tau _\theta } $$ \omega $取不同值时应力σ的变化情况

    Figure  10.  The variation of stress σ for different values of $ {\tau _q} $, $ {\tau _\theta } $ and $ \omega $

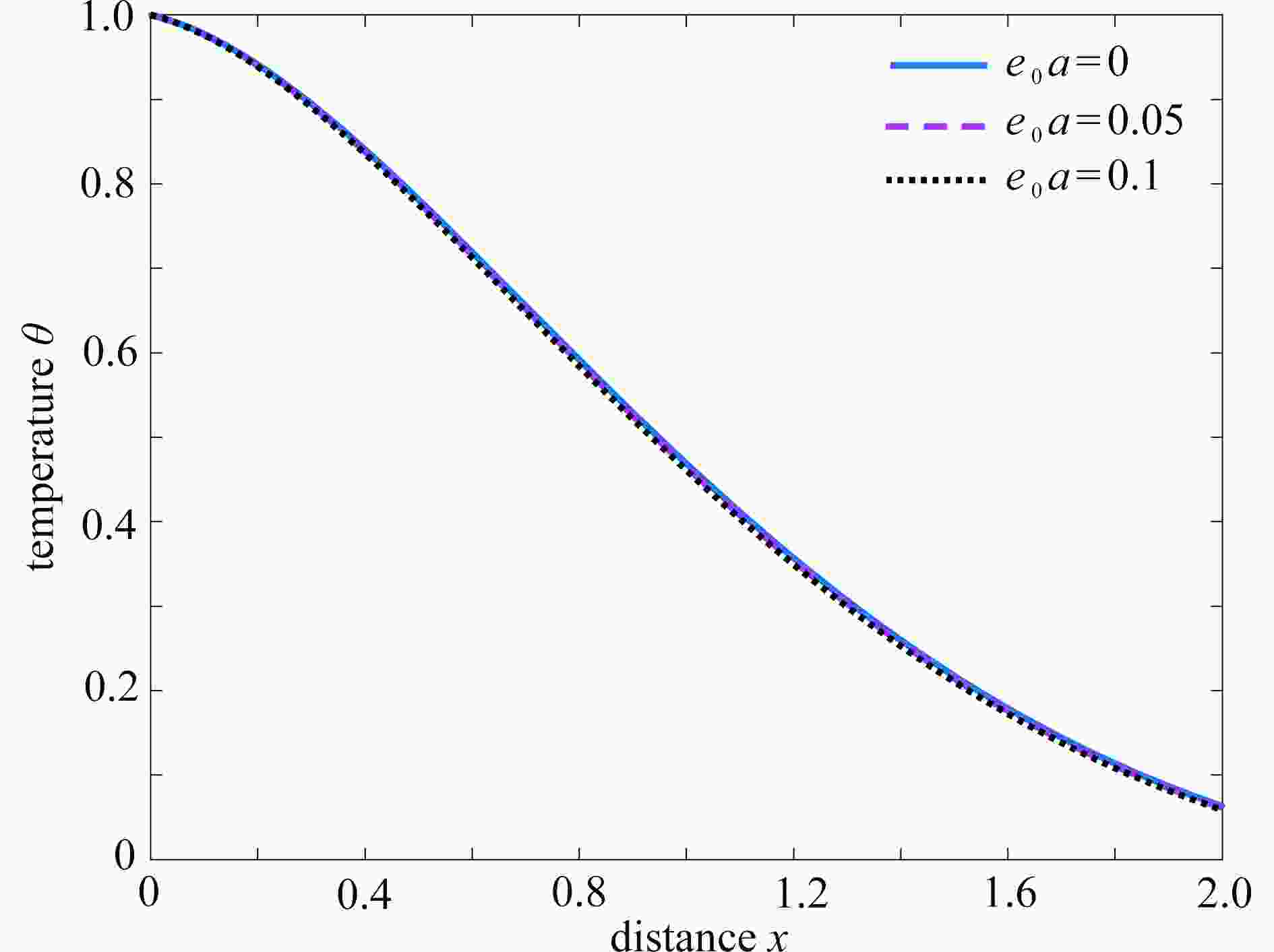
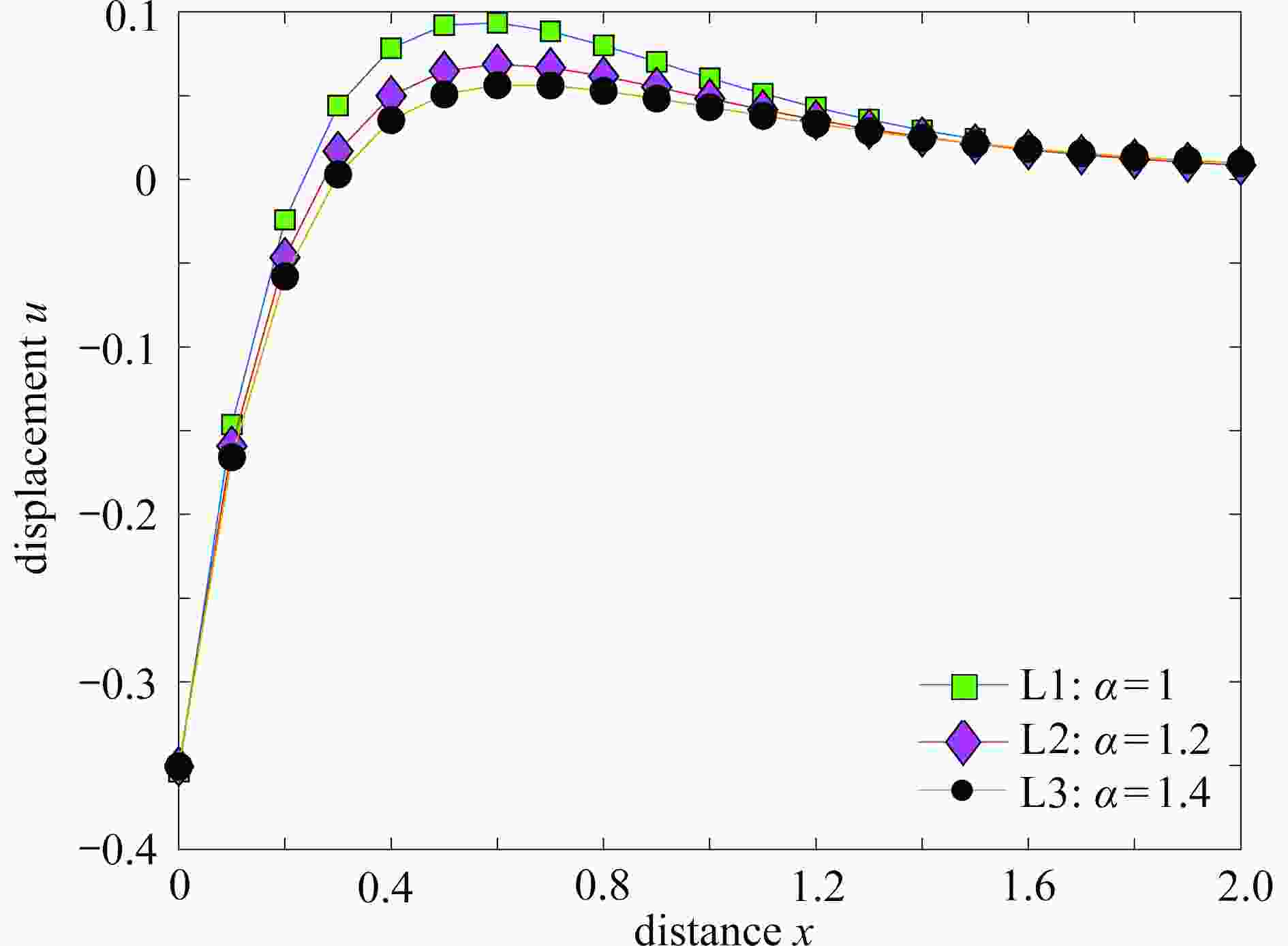
    图  11  $ {e_0}a $取不同值时温度θ的变化情况

    Figure  11.  The variation of temperature θ for different values of $ {e_0}a $

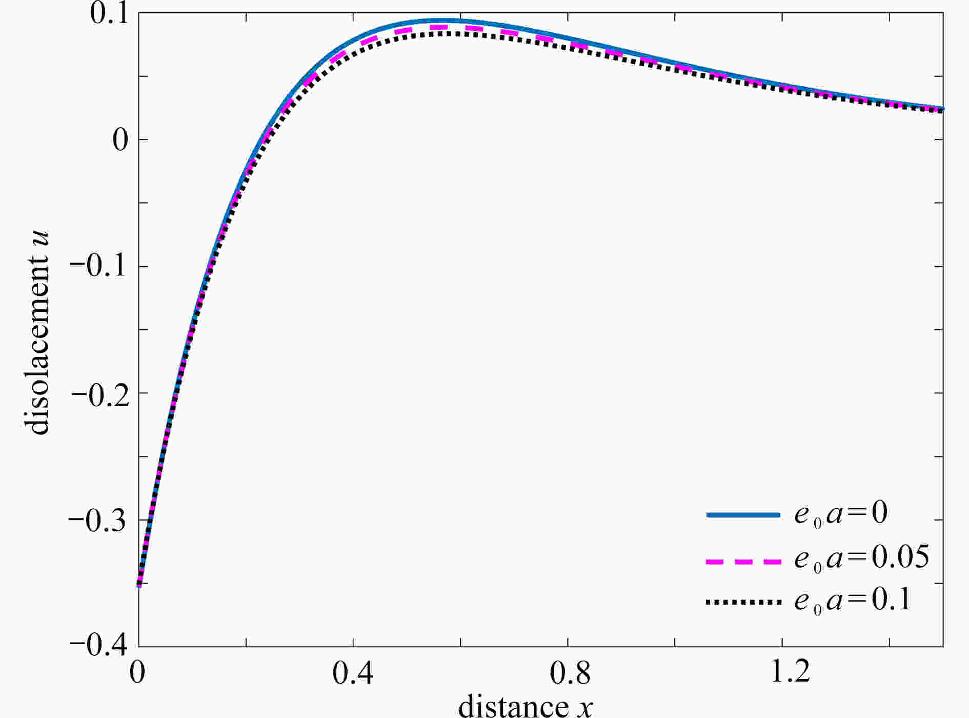
    图  12  $ {e_0}a $取不同值时位移u的变化情况

    Figure  12.  The variation of displacement u for different values of $ {e_0}a $

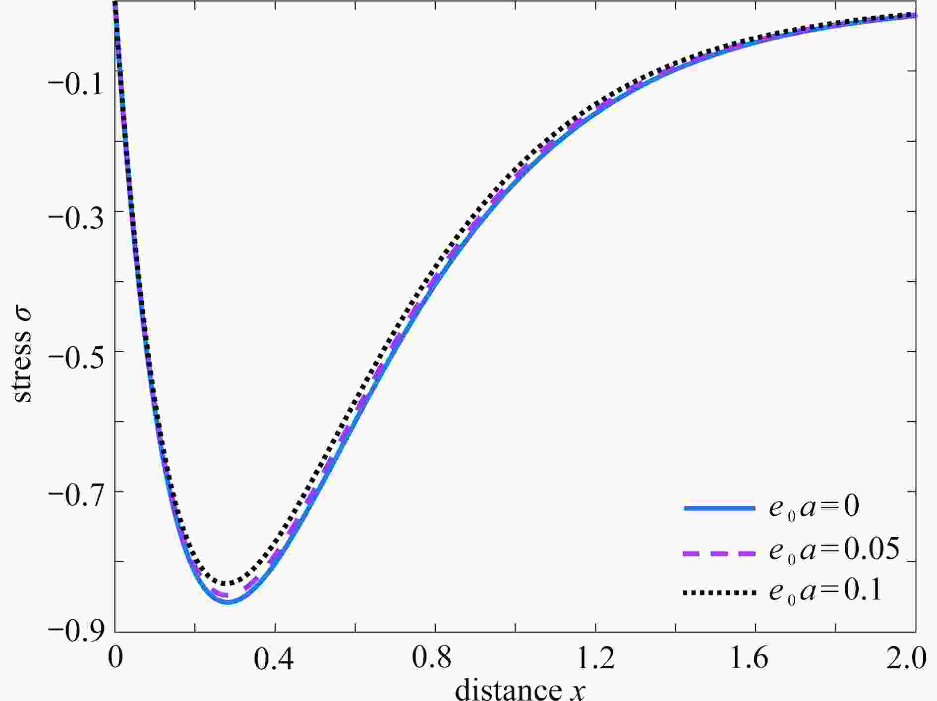
    图  13  $ {e_0}a $取不同值时应力σ的变化情况

    Figure  13.  The variation of stress σ for different values of $ {e_0}a $

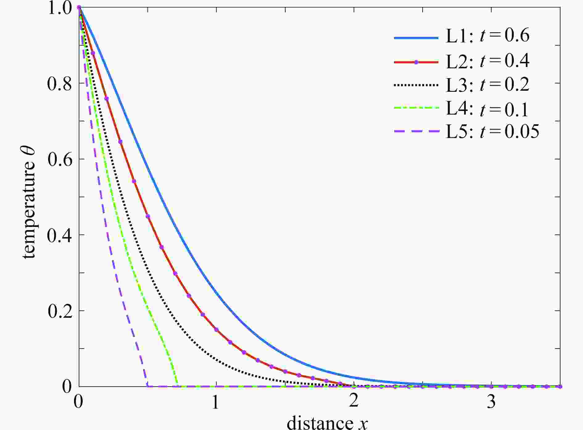
    图  14  t取不同值时温度θ的变化情况

    Figure  14.  The variation of temperature θ for different values of t

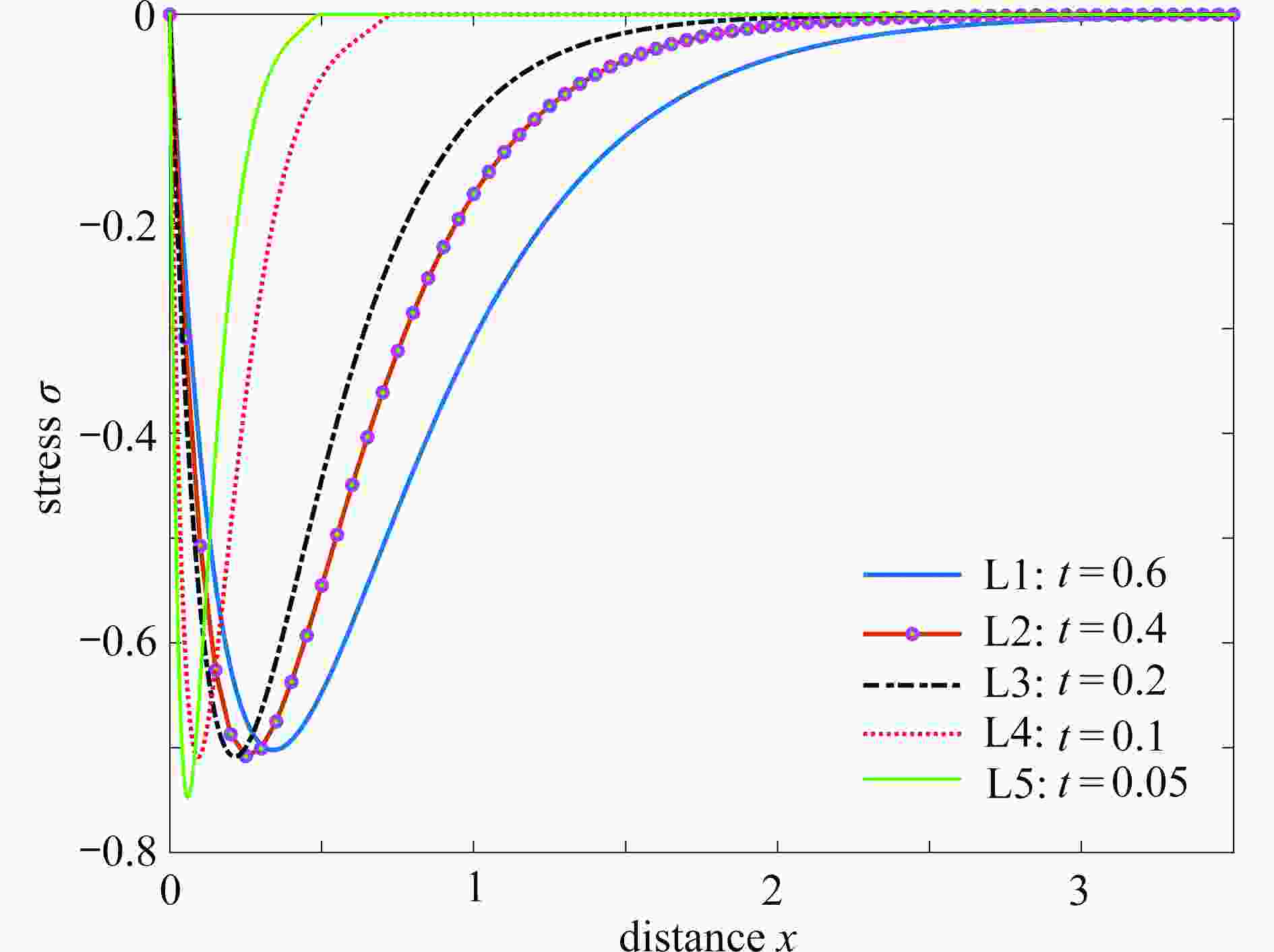
    图  16  t取不同值时应力σ的变化情况

    Figure  16.  The variation of stress σ for different values of t

    图  15  t取不同值时位移u的变化情况

    Figure  15.  The variation of displacement u for different values of t

    图  17  P取不同值时应力σ的变化情况

    Figure  17.  The variation of stress σ for different values of P

    图  18  M取不同值时应力σ的变化情况

    Figure  18.  The variation of stress σ for different values of M

    表  1  相关参数

    Table  1.   Related parameters

    parametervalue
    thermal conductivity K/(N·K−1·s−1) 386
    specific heat at constant strain $ {C_E} $/($ {m^2} $/K) 383.1
    Lamé constant $ \mu $/(N/m2) 3.86 × 1010
    Lamé constant $ \lambda $/(N/m2) 7.76 × 1010
    density $ \rho $/(kg/m3) 8 954
    magnetic permeability in vacuum $ {\mu _0} $/( N·s2/C2) 1.256 × 10-6
    electric permittivity in vacuum $ {\varepsilon _0} $/( C2·N−1·m−2) 10−9/(36π)
    reference temperature $ {T_0} $/K 293
    下载: 导出CSV
  • [1] POVSTENKO Y Z. Fractional radial heat conduction in an infinite medium with a cylindrical cavity and associated thermal stresses[J]. Mechanics Research Communications, 2010, 37(4): 436-440. doi: 10.1016/j.mechrescom.2010.04.006
    [2] YOUSSEF H M. Generalized thermoelastic infinite medium with spherical cavity subjected to moving heat source[J]. Computational Mathematics and Modeling, 2010, 21(2): 212-225. doi: 10.1007/s10598-010-9066-6
    [3] EI-KARAMANY A S, EZZAT M A. On fractional thermoelasticity[J]. Mathematics and Mechanics of Solids, 2011, 3(3): 334-346.
    [4] WANG J L, LI H F. Surpassing the fractional derivative: concept of the memory-dependent derivative[J]. Computers & Mathematics With Applications, 2011, 62(3): 1562-1567.
    [5] EZZAT M A, EI-KARAMANY A S, EI-BARY A A. On dual-phase-lag thermoelasticity theory with memory-dependent derivative[J]. Mechanics of Composite Materials & Structures, 2017, 24(11): 908-916.
    [6] LOTFY K, SARKAR N. Memory-dependent derivatives for photothermal semiconducting medium in generalized thermoelasticity with two temperature[J]. Mechanics of Time-Dependent Materials, 2017, 21(4): 519-534. doi: 10.1007/s11043-017-9340-5
    [7] WANG Y Z, ZHANG X B, SONG X N. A generalized theory of thermoelasticity based on thermomass and its uniqueness theorem[J]. Acta Mechanics, 2014, 225(3): 797-808. doi: 10.1007/s00707-013-1001-4
    [8] LORD H W, SHULMAN Y. A generalized dynamical theory of thermoelasticity[J]. Journal of the Mechanics and Physics of Solids, 1967, 15(5): 299-309. doi: 10.1016/0022-5096(67)90024-5
    [9] IGNACZAK J, HETNARSKI R B. Generalized thermoelasticity: mathematical formulation[J]. Encyclopedia of Thermal Stresses, 1999, 22: 451-476. doi: 10.1080/014957399280832
    [10] GREEN A E, NAGHDI P M. Thermoelasticity without energy dissipation[J]. Journal of Elasticity, 1993, 31(3): 189-208. doi: 10.1007/BF00044969
    [11] YOUSSEF H M. Theory of two-temperature-generalized thermoelasticity[J]. IMA Journal of Applied Mathematics, 2006, 71(3): 383-390. doi: 10.1093/imamat/hxh101
    [12] KUANG Z B. Variational principles for generalized dynamical theory of thermopiezoelectricity[J]. Acta Mechanica, 2009, 203(1/2): 1-11.
    [13] CHANDRASEKHARAIAH D S. Hyperbolic thermoelasticity: a review of recent literature[J]. Applied Mechanics Reviews, 1998, 51(12): 705-729. doi: 10.1115/1.3098984
    [14] 戴天民. 微极连续统的耦合场理论的再研究(Ⅱ): 微极热压电弹性理论和电磁热弹性理论[J]. 应用数学和力学, 2002, 23(3): 229-238 doi: 10.3321/j.issn:1000-0887.2002.03.002

    DAI Tianmin. Restudy of coupled field theories for micropolar continua (Ⅱ): thermopiezoelectricity and magnetothermoelasticity[J]. Applied Mathematics and Mechanics, 2002, 23(3): 229-238.(in Chinese) doi: 10.3321/j.issn:1000-0887.2002.03.002
    [15] 林 C W. 基于非局部弹性应力场理论的纳米尺度效应研究: 纳米梁的平衡条件、控制方程以及静态挠度[J]. 应用数学和力学, 2010, 31(1): 35-50 doi: 10.3879/j.issn.1000-0887.2010.01.005

    LIM C W. On the truth of nanoscale for nanobeams based on nonlocal elastic stress field theory: equilibrium, governing equation and static deflection[J]. Applied Mathematics and Mechanics, 2010, 31(1): 35-50.(in Chinese) doi: 10.3879/j.issn.1000-0887.2010.01.005
    [16] 周保良, 李志远, 黄丹. 二维瞬态热传导的PDDO分析[J]. 应用数学和力学, 2022, 43(6): 660-668

    ZHOU Baoliang, LI Zhiyuan, HUANG Dan. PDDO analysis of 2D transient heat conduction problems[J]. Applied Mathematics and Mechanics, 2022, 43(6): 660-668.(in Chinese)
    [17] ERINGEN A C. Nonlocal continuum field theories[J]. Applied Mechanics Reviews, 2003, 56(2): 391-398.
    [18] 张培, 何天虎. 考虑非局部效应和记忆依赖微分的广义热弹问题[J]. 力学学报, 2018, 50(3): 508-516 doi: 10.6052/0459-1879-18-079

    ZHANG Pei, HE Tianhu. A generalized thermaelastic problem with nonlacal effect and memory-dependent derivative[J]. Chinese Journal of Theoretical and Applied Mechanics, 2018, 50(3): 508-516.(in Chinese) doi: 10.6052/0459-1879-18-079
    [19] 马金涛, 何天虎. 基于非局部理论的一维广义热弹问题研究[J]. 甘肃科学学报, 2018, 30(5): 4-9 doi: 10.16468/j.cnki.issn1004-0366.2018.05.002

    MA Jintao, HE Tianhu. Study on one dimensional generalized thermoelastic problem based on non local theory[J]. Journal of Gansu Sciences, 2018, 30(5): 4-9.(in Chinese) doi: 10.16468/j.cnki.issn1004-0366.2018.05.002
    [20] SUR A. Non-local memory-dependent heat conduction in a magneto-thermoelastic problem[J]. Waves in Random and Complex Media, 2022, 32(1): 251-271. doi: 10.1080/17455030.2020.1770369
    [21] EI-KARAMANY A S, EZZAT M A. Modified Fourier’s law with time delay and kernel function: application in thermoelasticity[J]. Journal of Thermal Stresses, 2015, 38(7): 811-834. doi: 10.1080/01495739.2015.1040309
    [22] BIOT M A. Thermoelasticity and irreversible thermodynamics[J]. Journal of Applied Physics, 1956, 27(3): 240-253. doi: 10.1063/1.1722351
    [23] TZOU D Y. A unified field approach for heat conduction from macro- to micro-scales[J]. Journal of Heat Transfer, 1995, 117(1): 8-16. doi: 10.1115/1.2822329
    [24] HONIG G, HIRDES U. A method for the numerical inversion of Laplace transforms[J]. Journal of Computational and Applied Mathematics, 1984, 10(1): 113-132. doi: 10.1016/0377-0427(84)90075-X
    [25] BRANCIK L. Programs for fast numerical inversion of Laplace transforms in MATLAB language environment[C]//Proceedings of the 7th Conference MATLAB'99, Czech Republic, Prague. 1999: 27-39.
  • 加载中
图(18) / 表(1)
计量
  • 文章访问数:  936
  • HTML全文浏览量:  455
  • PDF下载量:  56
  • 被引次数: 0
出版历程
  • 收稿日期:  2021-07-13
  • 修回日期:  2022-07-15
  • 网络出版日期:  2022-07-06
  • 刊出日期:  2022-08-01

目录

    /

    返回文章
    返回