• Scopus收录
  • CSCD来源期刊
  • 中文核心期刊

留言板

尊敬的读者、作者、审稿人, 关于本刊的投稿、审稿、编辑和出版的任何问题, 您可以本页添加留言。我们将尽快给您答复。谢谢您的支持!

姓名
邮箱
手机号码
标题
留言内容
验证码

空间机器人组装超大型结构的动力学分析

王启生 蒋建平 李庆军 江国期 邓子辰

王启生,蒋建平,李庆军,江国期,邓子辰. 空间机器人组装超大型结构的动力学分析 [J]. 应用数学和力学,2022,43(8):835-845 doi: 10.21656/1000-0887.420244
引用本文: 王启生,蒋建平,李庆军,江国期,邓子辰. 空间机器人组装超大型结构的动力学分析 [J]. 应用数学和力学,2022,43(8):835-845 doi: 10.21656/1000-0887.420244
WANG Qisheng, JIANG Jianping, LI Qingjun, JIANG Guoqi, DENG Zichen. Dynamic Analyses of the Assembling Process of Ultra-Large Structures With Space Robots[J]. Applied Mathematics and Mechanics, 2022, 43(8): 835-845. doi: 10.21656/1000-0887.420244
Citation: WANG Qisheng, JIANG Jianping, LI Qingjun, JIANG Guoqi, DENG Zichen. Dynamic Analyses of the Assembling Process of Ultra-Large Structures With Space Robots[J]. Applied Mathematics and Mechanics, 2022, 43(8): 835-845. doi: 10.21656/1000-0887.420244

空间机器人组装超大型结构的动力学分析

doi: 10.21656/1000-0887.420244
基金项目: 广东省基础与应用基础研究基金(2019A1515110730)
详细信息
    作者简介:

    王启生(1997—),男,硕士生(E-mail:wangqsh7@mail2.sysu.edu.cn

    蒋建平(1979—),男,教授(通讯作者. E-mail:jiangjp8@mail.sysu.edu.cn

  • 中图分类号: O313.7

Dynamic Analyses of the Assembling Process of Ultra-Large Structures With Space Robots

  • 摘要:

    超大型航天结构具有超大柔性、超低固有频率的特点,空间机器人在轨组装时应尽可能避免激起超大型结构的柔性振动。空间机器人组装超大型结构模块的过程分成抓捕阶段、位姿调整与稳定阶段、安装阶段和爬行阶段。通过对安装阶段的动力学与控制研究,提出共线安装的轨迹规划方法,有效避免了柔性结构振动。首先,采用自然坐标法和绝对节点坐标法建立主结构-空间机器人-待组装结构的在轨组装系统动力学模型。然后,将共线安装的要求转化为空间机器人的轨迹规划约束,要求空间机器人质心到主结构/待组装结构的距离保持不变,实现共线安装的轨迹规划。数值仿真表明:提出的组装方法在组装过程中可有效避免超大型结构的横向运动,降低夹持力矩。最后,分析了系统参数对组装过程动力学响应的影响,为超大型航天器的在轨组装提供了参考。

  • 图  1  组装系统示意图

    Figure  1.  Schematic diagram of the assembly system

    图  2  刚体AB的自然坐标描述

    Figure  2.  The natural coordinate description of rigid body AB

    图  3  机械臂正运动学坐标系

    Figure  3.  The forward kinematics coordinate system of the manipulator

    图  4  安装阶段关节角度规划结果

    Figure  4.  Joint angle planning results during the whole assembly process

    图  5  主结构和待组装结构在组装方向的运动(共线安装)

    Figure  5.  Movement of the main structure and the structure to be assembled in the assembly direction (collinear assembly)

    图  6  空间机器人控制误差(共线安装)

    Figure  6.  Control errors of the space robot (collinear assembly)

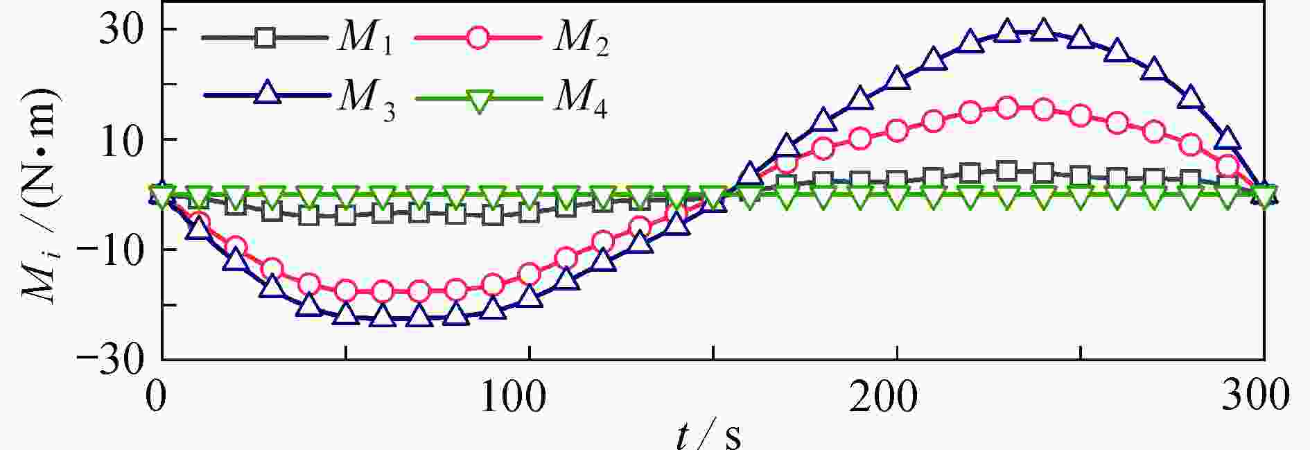
    图  7  空间机器人控制力矩(共线安装)

    Figure  7.  Control torques of the space robot (collinear assembly)

    图  8  主结构和待组装结构在夹持点处的$Y$方向位移(共线安装)

    Figure  8.  Y-direction displacements of the main structure and the structure to be assembled at the grasping point (collinear assembly)

    图  9  主结构和待组装结构在夹持点处的转动(共线安装)

    Figure  9.  Rotations of the main structure and the structure to be assembled at the grasping point (collinear assembly)

    图  10  主结构和待组装结构在夹持点处的$Y$方向位移(非共线安装)

    Figure  10.  Y-direction displacements of the main structure and the structure to be assembled at the grasping point (noncollinear assembly)

    图  11  主结构和待组装结构在夹持点处的转动(非共线安装)

    Figure  11.  Rotations of the main structure and the structure to be assembled at the grasping point (noncollinear assembly)

    图  12  A处的夹持力矩

    Figure  12.  Grasping moments at point A

    图  13  两种安装方法比较

    Figure  13.  Comparison of 2 assembly methods

    图  14  基本组装模块数量同步增加对控制误差的影响

    Figure  14.  The influence of synchronous increases of the numbers of basic assembly modules on the control errors

    图  15  基本组装模块数量同步增加对控制力矩的影响

    Figure  15.  The influence of synchronous increases of the numbers of basic assembly modules on the control torques

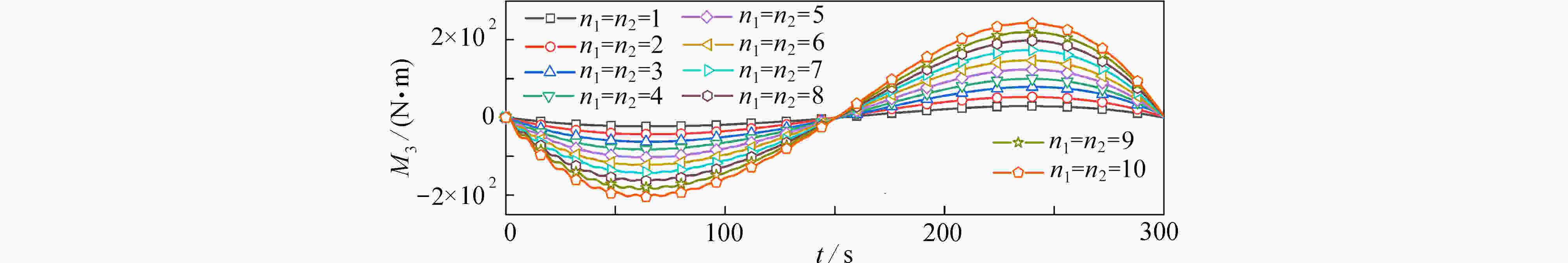
    图  16  基本组装模块数量同步增加对$ {M_{3,\max }} $的影响

    Figure  16.  The influence of synchronous increases of the numbers of basic assembly modules on $ {M_{3,\max }} $

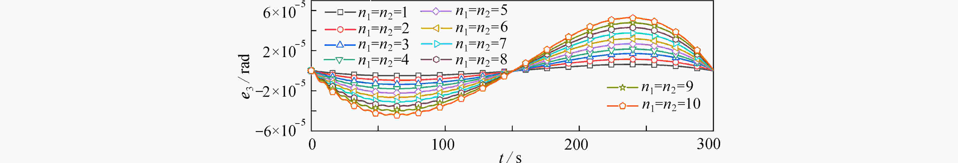
    图  17  基本组装模块数量不同步增加对控制误差${e_3}$的影响

    Figure  17.  The influence of unsynchronized increases of the numbers of basic assembly modules on control error ${e_3}$

    图  18  基本组装模块数量不同步增加对控制力矩${M_3}$的影响

    Figure  18.  The influence of unsynchronized increases of the numbers of basic assembly modules on control torque ${M_3}$

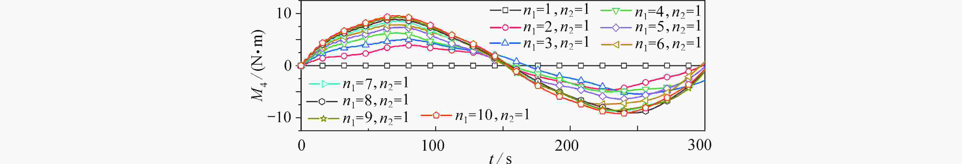
    图  19  基本组装模块数量不同步增加对控制力矩${M_4}$的影响

    Figure  19.  The influence of unsynchronized increases of the numbers of basic assembly modules on control torque ${M_4}$

    图  20  基本组装模块数量不同步增加对$ {M_{3,\max }} $$ {M_{4,\max }} $的影响

    Figure  20.  The influence of unsynchronized increases of the numbers of basic assembly modules on $ {M_{3,\max }} $$ {M_{4,\max }} $

    表  1  刚体机械臂的参数

    Table  1.   Parameters of the rigid manipulator

    parametermechanical arms 1,4,7mechanical arms 2,3,5,6
    length l/m27
    density ρ/(kg/m³)10001000
    radius R/m0.1750.175
    下载: 导出CSV

    表  2  基本组装模块的参数

    Table  2.   Parameters of the basic assembly module

    parameter meaningbeam NMbeam KI
    length l/m100100
    cross sectional area A/m2$0.011\;6$$0.011\;6$
    section second moment I/m4$1.627\;9 \times {10^{ - 4} }$$1.627\;9 \times {10^{ - 4} }$
    density ρ/(kg/m³)2 7002 700
    quality m/kg$3.132 \times {10^3}$$3.132 \times {10^3}$
    elastic modulus E/GPa7070
    下载: 导出CSV
  • [1] 李庆军, 邓子辰, 王艳, 等. 空间太阳能电站的准对日定向姿态[J]. 宇航学报, 2019, 40(1): 29-40 doi: 10.3873/j.issn.1000-1328.2019.01.004

    LI Qingjun, DENG Zichen, WANG Yan, et al. Quasi-sun-pointing oriented attitude for solar power satellites[J]. Journal of Astronautics, 2019, 40(1): 29-40.(in Chinese) doi: 10.3873/j.issn.1000-1328.2019.01.004
    [2] 丁继锋, 高峰, 钟小平, 等. 在轨建造中的关键力学问题[J]. 中国科学: 物理学 力学 天文学, 2019, 49(2): 50-57

    DING Jifeng, GAO Feng, ZHONG Xiaoping, et al. The key mechanical problems of on-orbit construction[J]. Scientia Sinica: Physica, Mechanica & Astronomica, 2019, 49(2): 50-57.(in Chinese)
    [3] 沈晓凤, 曾令斌, 靳永强, 等. 在轨组装技术研究现状与发展趋势[J]. 载人航天, 2017, 23(2): 228-235 doi: 10.3969/j.issn.1674-5825.2017.02.016

    SHEN Xiaofeng, ZENG Lingbin, JIN Yongqiang, et al. Status and prospect of on-orbit assembly technology[J]. Manned Spaceflight, 2017, 23(2): 228-235.(in Chinese) doi: 10.3969/j.issn.1674-5825.2017.02.016
    [4] CHENG Z, HOU X, ZHANG X, et al. In-orbit assembly mission for the space solar power station[J]. Acta Astronautica, 2016, 129: 299-308. doi: 10.1016/j.actaastro.2016.08.019
    [5] 王恩美, 邬树楠, 吴志刚. 在轨组装空间结构面向主动控制的动力学建模[J]. 力学学报, 2020, 52(3): 805-816 doi: 10.6052/0459-1879-19-375

    WANG Enmei, WU Shunan, WU Zhigang. Active-control-oriented dynamic modelling for on-orbit assembly space structure[J]. Chinese Journal of Theoretical and Applied Mechanics, 2020, 52(3): 805-816.(in Chinese) doi: 10.6052/0459-1879-19-375
    [6] CAO K, LI S, SHE Y, et al. Dynamics and on-orbit assembly strategies for an orb-shaped solar array[J]. Acta Astronautica, 2021, 178: 881-893. doi: 10.1016/j.actaastro.2020.10.030
    [7] WANG E, WU S, WU Z, et al. Distributed adaptive vibration control for solar power satellite during on-orbit assembly[J]. Aerospace Science and Technology, 2019, 94: 105378. doi: 10.1016/j.ast.2019.105378
    [8] 荣吉利, 崔硕, 石文静, 等. 大型空间电站在轨展开与组装动力学与控制[J]. 宇航学报, 2021, 42(3): 295-304 doi: 10.3873/j.issn.1000-1328.2021.03.004

    RONG Jili, CUI Shuo, SHI Wenjing, et al. On-orbit deployment and assembly dynamics and control of large space power station[J]. Journal of Astronautics, 2021, 42(3): 295-304.(in Chinese) doi: 10.3873/j.issn.1000-1328.2021.03.004
    [9] CHEN T, WEN H, HU H, et al. Output consensus and collision avoidance of a team of flexible spacecraft for on-orbit autonomous assembly[J]. Acta Astronautica, 2016, 121: 271-281. doi: 10.1016/j.actaastro.2015.11.004
    [10] 周志成, 王兴龙, 曲广吉. 大型空间柔性组合航天器动力学建模与控制[J]. 中国科学: 物理学 力学 天文学, 2019, 49(2): 62-73

    ZHOU Zhicheng, WANG Xinglong, QU Guangji. Dynamic modeling and control of large flexible spacecraft combination[J]. Scientia Sinica: Physica, Mechanica & Astronomica, 2019, 49(2): 62-73.(in Chinese)
    [11] 朱安, 陈力. 配置柔顺机构空间机器人双臂捕获卫星操作力学模拟及基于神经网络的全阶滑模避撞柔顺控制[J]. 力学学报, 2019, 51(4): 1156-1169 doi: 10.6052/0459-1879-18-407

    ZHU An, CHEN Li. Mechanical simulation and full order sliding mode collision avoidance compliant control based on neural network of dual-arm space robot with compliant mechanism capturing satellite[J]. Chinese Journal of Theoretical and Applied Mechanics, 2019, 51(4): 1156-1169.(in Chinese) doi: 10.6052/0459-1879-18-407
    [12] XU W, MENG D, CHEN Y, et al. Dynamics modeling and analysis of a flexible-base space robot for capturing large flexible spacecraft[J]. Multibody System Dynamics, 2014, 32(3): 357-401. doi: 10.1007/s11044-013-9389-0
    [13] MENG D, LU W, XU W, et al. Vibration suppression control of free-floating space robots with flexible appendages for autonomous target capturing[J]. Acta Astronautica, 2018, 151: 904-918. doi: 10.1016/j.actaastro.2018.07.044
    [14] LU Y, HUANG Z, ZHANG W, et al. Experimental investigation on automated assembly of space structure from cooperative modular components[J]. Acta Astronautica, 2020, 171: 378-387. doi: 10.1016/j.actaastro.2020.03.033
    [15] DUBOWSKY S, BONING P. Coordinated control of space robot teams for the on-orbit construction of large flexible space structures[J]. Advanced Robotics, 2010, 24(3): 303-323. doi: 10.1163/016918609X12619993300665
    [16] 王兴龙, 周志成, 王典军, 等. 面向空间近距离操作的机械臂与服务卫星协同控制[J]. 宇航学报, 2020, 41(1): 101-109 doi: 10.3873/j.issn.1000-1328.2020.01.012

    WANG Xinglong, ZHOU Zhicheng, WAGN Dianjun, et al. Cooperative control of manipulator and servicing satellite for spatial proximal operation[J]. Journal of Astronautics, 2020, 41(1): 101-109.(in Chinese) doi: 10.3873/j.issn.1000-1328.2020.01.012
    [17] 张凯锋, 周晖, 温庆平, 等. 空间站机械臂研究[J]. 空间科学学报, 2010, 30(6): 612-619 doi: 10.11728/cjss2010.06.612

    ZHANG Kaifeng, ZHOU Hui, WEN Qingping, et al. Review of the development of robotic manipulator for international space station[J]. Chinese Journal of Space Science, 2010, 30(6): 612-619.(in Chinese) doi: 10.11728/cjss2010.06.612
    [18] ESCALONA J L, HUSSIEN H A, SHABANA A A. Application of the absolute nodal coordinate formulation to multibody system dynamics[J]. Journal of Sound & Vibration, 1998, 214(5): 833-851.
    [19] SHABANA A. Dynamics of Multibody Systems[M]. 4th ed. Cambridge: Cambridge University Press, 2013.
    [20] 陶红武, 谭跃刚, 陈建文. 四足机器人单腿系统及其跳跃柔顺控制的研究[J]. 机械设计与制造, 2022(1): 290-294 doi: 10.3969/j.issn.1001-3997.2022.01.065

    TAO Hongwu, TAN Yuegang, CHEN Jianwen. Research on the design and jump compliance control of single leg system for a quadruped robot[J]. Machinery Design & Manufacture, 2022(1): 290-294.(in Chinese) doi: 10.3969/j.issn.1001-3997.2022.01.065
  • 加载中
图(20) / 表(2)
计量
  • 文章访问数:  1302
  • HTML全文浏览量:  520
  • PDF下载量:  126
  • 被引次数: 0
出版历程
  • 收稿日期:  2021-08-17
  • 修回日期:  2021-12-06
  • 网络出版日期:  2022-07-05
  • 刊出日期:  2022-08-01

目录

    /

    返回文章
    返回