Source Identification for the Time-Fractional Diffusion Equation With Robin Boundary Conditions
-
摘要:
对Robin边界条件时间分数阶扩散方程的源项辨识问题进行了研究。这类问题是不适定的,因此提出了一种迭代型正则化方法,得到了源项辨识问题的正则近似解。给出了先验和后验参数选取规则下正则近似解和精确解之间的误差估计,数值算例验证了该方法的有效性。
Abstract:The source term identification for the time-fractional diffusion equation with Robin boundary conditions was studied. Since the ill-posedness of this problem, an iterative regularization method was constructed to calculate the regularized approximate solution of the source term. The error estimates between the regularized approximate solution and the exact solution were given under the priori and the posteriori regularization parameter choice rules. Numerical examples verify the effectiveness of the proposed method.
-
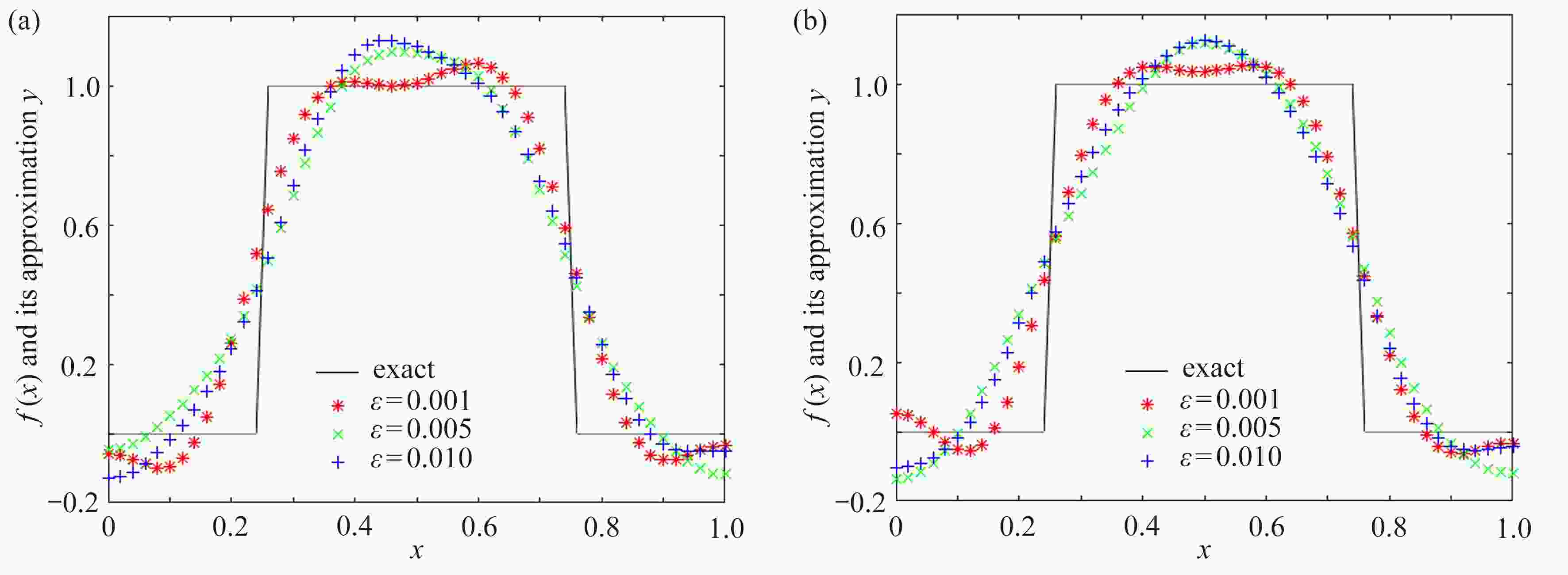
表 1 算例1在不同误差水平下的绝对误差和相对误差
Table 1. Absolute errors and relative errors under different error levels of example 1
$ \varepsilon $ 0.001 0.005 0.010 $ e{(f,\varepsilon )_{{\text{priori}}}} $ 0.344 4 0.649 1 0.729 8 $ {e_{\text{r}}}{(f,\varepsilon )_{{\text{priori}}}} $ 0.026 9 0.050 7 0.057 0 $ e{(f,\varepsilon )_{{\text{posteriori}}}} $ 0.294 5 0.557 0 0.681 2 $ {e_{\text{r}}}{(f,\varepsilon )_{{\text{posteriori}}}} $ 0.023 0 0.043 5 0.053 2 表 2 算例2在不同误差水平下的绝对误差和相对误差
Table 2. Absolute errors and relative errors under different error levels of example 2
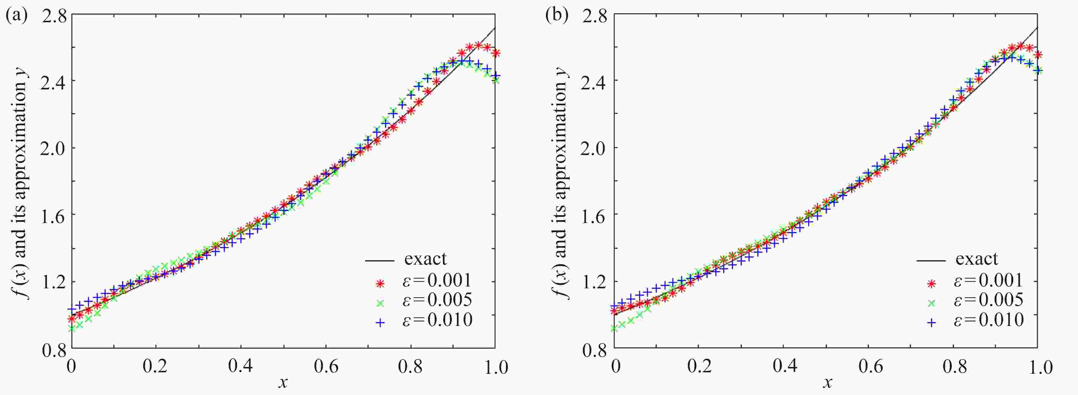
$ \varepsilon $ 0.001 0.005 0.010 $ e{(f,\varepsilon )_{{\text{priori}}}} $ 0.200 9 0.343 5 0.531 3 $ {e_{\text{r}}}{(f,\varepsilon )_{{\text{priori}}}} $ 0.049 2 0.084 1 0.130 1 $ e{(f,\varepsilon )_{{\text{posteriori}}}} $ 0.197 7 0.299 0 0.368 4 $ {e_{\text{r}}}{(f,\varepsilon )_{{\text{posteriori}}}} $ 0.048 4 0.073 2 0.090 2 表 3 算例3在不同误差水平下的绝对误差和相对误差
Table 3. Absolute errors and relative errors under different error levels of example 3
$ \varepsilon $ 0.001 0.005 0.010 $ e{(f,\varepsilon )_{{\text{priori}}}} $ 1.245 0 1.400 0 1.536 5 $ {e_{\text{r}}}{(f,\varepsilon )_{{\text{priori}}}} $ 0.249 0 0.280 1 0.307 3 $ e{(f,\varepsilon )_{{\text{posteriori}}}} $ 1.191 0 1.369 5 1.467 0 $ {e_{\text{r}}}{(f,\varepsilon )_{{\text{posteriori}}}} $ 0.238 2 0.273 9 0.293 4 -
[1] LUCHKO Y. Maximum principle and its application for the time-fractional diffusion equations[J]. Fractional Calculus and Applied Analysis, 2011, 14(1): 110-124. doi: 10.2478/s13540-011-0008-6 [2] YAMAMOTO M. Weak solutions to non-homogeneous boundary value problems for time-fractional diffusion equations[J]. Journal of Mathematical Analysis and Applications, 2018, 460(1): 365-381. doi: 10.1016/j.jmaa.2017.11.048 [3] LANGLANDS T A M, HENRY B I. The accuracy and stability of an implicit solution method for the fractional diffusion equation[J]. Journal of Computational Physics, 2005, 205(2): 719-736. doi: 10.1016/j.jcp.2004.11.025 [4] ZHUANG P, LIU F. Implicit difference approximation for the time fractional diffusion equation[J]. Journal of Applied Mathematics and Computing, 2006, 22(3): 87-99. doi: 10.1007/BF02832039 [5] DENG W H. Finite element method for the space and time fractional Fokker-Planck equation[J]. SIAM Journal on Numerical Analysis, 2009, 47(1): 204-226. doi: 10.1137/080714130 [6] SONG F Y, XU C J. Spectral direction splitting methods for two-dimensional space fractional diffusion equations[J]. Journal of Computational Physics, 2015, 299: 196-214. doi: 10.1016/j.jcp.2015.07.011 [7] ZHANG Y, XU X. Inverse source problem for a fractional diffusion equation[J]. Inverse Problems, 2011, 27(3): 035010. doi: 10.1088/0266-5611/27/3/035010 [8] TUAN N H, LONG L D, THINH N V. Regularized solution of an inverse source problem for a time fractional diffusion equation[J]. Applied Mathematical Modelling, 2016, 40(19/20): 8244-8264. [9] WEI T, WANG J G. A modified quasi-boundary value method for an inverse source problem of the time-fractional diffusion equation[J]. Applied Numerical Mathematics, 2014, 78: 95-111. doi: 10.1016/j.apnum.2013.12.002 [10] YANG F, LIU X, LI X X, et al. Landweber iterative regularization method for identifying the unknown source of the time-fractional diffusion equation[J]. Advances in Difference Equations, 2017, 2017: 388-403. doi: 10.1186/s13662-017-1423-8 [11] WANG W, YAMAMOTO M, HAN B. Numerical method in reproducing kernel space for an inverse source problem for the fractional diffusion equation[J]. Inverse Problems, 2013, 29(9): 095009. doi: 10.1088/0266-5611/29/9/095009 [12] PODLUBNY I. Fractional Differential Equations[M]. San Diego: Academic Press, 1999. [13] 顾樵. 数学物理方法[M]. 北京: 科学出版社, 2012.GU Qiao. Mathematical Methods for Physics[M]. Beijing: Science Press, 2012. (in Chinese) [14] MA Y K, PRAKASH P, DEIVEEGAN A. Generalized Tikhonov methods for an inverse source problem of the time-fractional diffusion equation[J]. Chaos, Solitons & Fractals, 2018, 108: 39-48. [15] KLANN E, RAMLAU R. Regularization by fractional filter methods and data smoothing[J]. Inverse Problems, 2008, 24(2): 025018. doi: 10.1088/0266-5611/24/2/025018 [16] DENG Y, LIU Z. Iteration methods on sideways parabolic equations[J]. Inverse Problem, 2009, 25(9): 095004. doi: 10.1088/0266-5611/25/9/095004 [17] KIRSCH A. An Introduction to the Mathematical Theory of Inverse Problem[M]. New York: Springer, 1996. [18] 于宁. 求解时间分数阶扩散方程反源问题的分数阶Landweber正则化方法[D]. 硕士学位论文. 济南: 山东大学, 2020.YU Ning. The fractional Landweber regularization method for solving inverse source problem of time-fractional diffusion equation[D]. Master Thesis. Jinan: Shandong University, 2020. (in Chinese) [19] 孙志忠, 高广花. 分数阶微分方程的有限差分方法[M]. 北京: 科学出版社, 2015.SUN Zhizhong, GAO Guanghua. Finite Difference Method for Fractional Differential Equation[M]. Beijing: Science Press, 2015. (in Chinese) -
下载:
渝公网安备50010802005915号