• Scopus收录
  • CSCD来源期刊
  • 中文核心期刊

留言板

尊敬的读者、作者、审稿人, 关于本刊的投稿、审稿、编辑和出版的任何问题, 您可以本页添加留言。我们将尽快给您答复。谢谢您的支持!

姓名
邮箱
手机号码
标题
留言内容
验证码

2025年  第46卷  第11期

固体力学
双参数地基上四边自由矩形中厚板弯曲的有限积分变换精确解
胡波, 程超宇, 宜芳宇, 安东琦
2025, 46(11): 1367-1377. doi: 10.21656/1000-0887.450307
摘要(415) HTML (183) PDF(132)
摘要:
弹性地基上的中厚板是一类重要的工程承载结构,其承载后弯曲行为的研究具有重要理论意义和实用价值. 同时考虑反力系数和剪切模量的双参数弹性地基模型可以准确描述板和地基之间的相互作用,利用二维有限积分变换方法推导出了双参数地基上四边自由矩形中厚板弯曲问题的精确解. 由于在求解过程中不需要预先人为地选取位移函数,而是直接从问题的基本方程出发,利用有限积分变换的数学方法求出满足四边自由边界条件的精确解,因此问题的求解更加严格. 通过计算实例验证了有限积分变换得到的精确解的正确性,相应的参数分析可以为工程设计提供理论基础.
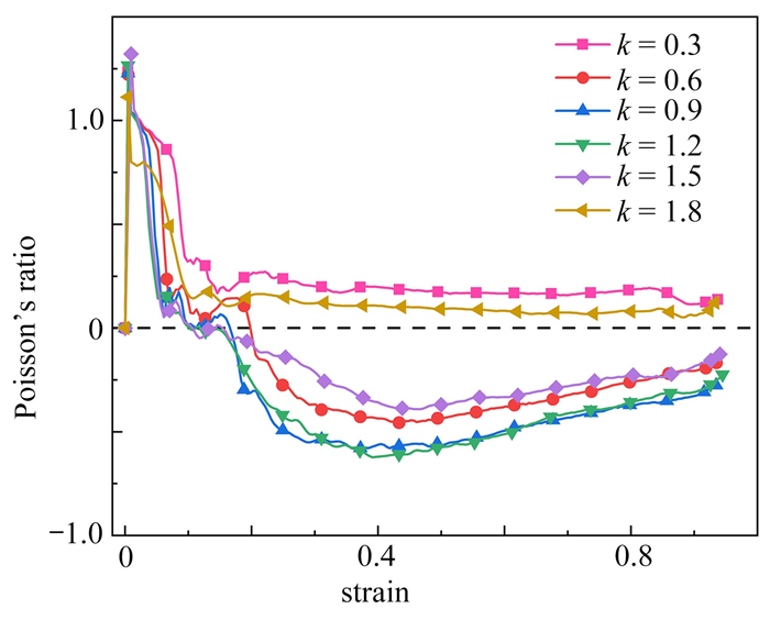
新型梯度多级六边形蜂窝面内耐撞性研究
周德, 赵若朝, 陶勇
2025, 46(11): 1378-1393. doi: 10.21656/1000-0887.450306
摘要(363) HTML (159) PDF(28)
摘要:
梯度设计和多级设计在提高蜂窝材料的力学和吸能性能方面各有优势. 受天然蜂窝的启发,该文基于梯度蜂窝材料和多级蜂窝材料,结合变壁厚梯度设计和节点型多级设计的概念,提出了一种新型梯度多级六边形蜂窝材料. 利用增材制造技术制备了梯度多级六边形蜂窝试件,并通过试验和数值模拟研究了新型梯度多级六边形蜂窝的面内耐撞性,分析对比了梯度设计和多级设计对梯度多级六边形蜂窝面内耐撞性的影响规律. 研究结果表明,结合梯度设计和多级设计可以显著增强蜂窝材料的面内耐撞性,且会出现明显的负Poisson比现象. 此外,相比于多级设计,梯度设计对蜂窝材料的力学和吸能性能的增强效果更加显著.
基于绝对节点坐标法的高阶薄壁曲梁单元
吴明港, 王玉凤, 马喆, 沈振兴
2025, 46(11): 1394-1402. doi: 10.21656/1000-0887.450296
摘要(364) HTML (174) PDF(25)
摘要:
薄壁曲梁的截面易出现畸变和翘曲现象,为了能够描述其在大转动、大变形情况下的截面变形行为,提出了一种基于绝对节点坐标法的高阶梁单元. 借鉴Taylor级数展开模式构建了全局位置矢量场,通过增加单元横向节点的方式,避免了高阶导数几何意义不明确带来的困扰. 基于非线性连续介质力学理论和坐标变换策略,推导了薄壁曲梁单元的广义弹性力表达式. 通过与有限元软件中的薄壳单元进行比较,验证了该薄壁梁单元的准确性.
考虑瞬态效应下区域最高温度的电池包散热拓扑优化设计
郭伟超, 杜亮, 许栋, 贺钊锐, 高新勤
2025, 46(11): 1403-1415. doi: 10.21656/1000-0887.450276
摘要(325) HTML (235) PDF(20)
摘要:
电池包的散热程度是影响其稳定性、能效和续航里程等性能的关键因素,也是新能源汽车电池性能的瓶颈之一. 针对电池包的最高温度过大导致结构失效的问题,在考虑瞬态效应的影响的条件下,提出了一种能够表示结构特定区域最高温度的方法——区域温度控制函数,并把区域最高温度作为优化目标建立了对应的拓扑优化模型,从而实现了电池在工作时间、结构特定区域的最高温度的最小化设计. 通过伴随变量法推导了目标函数关于设计变量的敏度解析表达式,从而使设计的电池包结构更合理,满足电池包的热控制需求. 最后,通过具体电池散热片的优化、分析,表明该方法可以有效提高电池包的散热效率,降低特定区域的最高温度,减少温度不均匀性,在新能源汽车领域具有广阔的应用前景.
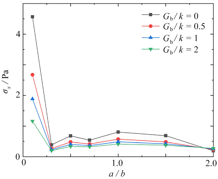
含圆孔功能梯度压电材料板的力电耦合三维解析解
张友源, 范慧朵, 沈璐璐, 杨博
2025, 46(11): 1416-1428. doi: 10.21656/1000-0887.460016
摘要(306) HTML (188) PDF(15)
摘要:
在推广后的England-Spencer功能梯度板理论基础上,该研究进一步将功能梯度弹性材料推广到了功能梯度压电材料,研究了含有圆孔无限大横观各向同性功能梯度压电材料板在机械荷载作用下的三维响应. 该板理论将三维问题转化为二维问题,利用复变函数解法,通过求解四个解析函数获得具体边值问题的三维解析解. 针对在无穷远处受机械荷载作用的含圆孔功能梯度压电材料板,利用边界条件确定了四个解析函数的具体表达形式. 通过数值算例讨论了材料参数沿板厚方向呈指数函数梯度变化时,边界条件和相关参数对圆孔边上三维应力的影响. 该解析方法可为分析功能梯度压电板的三维孔口问题提供有效解析求解手段.
动力学与控制
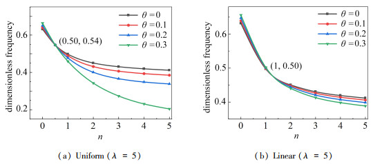
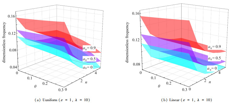
含初始变形的多孔功能梯度矩形板自由振动研究
王煜程, 高芳清, 邓鹤轩, 古定翱
2025, 46(11): 1429-1439. doi: 10.21656/1000-0887.450227
摘要(320) HTML (178) PDF(27)
摘要:
面向多参数动力影响的功能梯度板定型前高效设计优化需求,建立了统一考虑初始变形、孔隙分布和梯度效应耦合影响的功能梯度板动力分析理论框架与模型. 采用一阶剪切变形理论下的位移场,描述了梯度材料厚度方向变化所致横向剪切效应. 使用Chebyshev-Ritz法对位移进行离散,推导出了含初始变形的多孔功能梯度板的能量泛函表达式. 根据最小能量原理得出振动系统的特征方程,并通过数值求解分析了多功能梯度板的自由振动特性. 通过与文献结果和有限元分析的对比,验证了该方法的收敛性和准确性. 结果表明:初始变形的引入会显著影响多孔功能梯度矩形板的自振频率,此外,孔隙、梯度指数等参数也会影响板的自振频率.
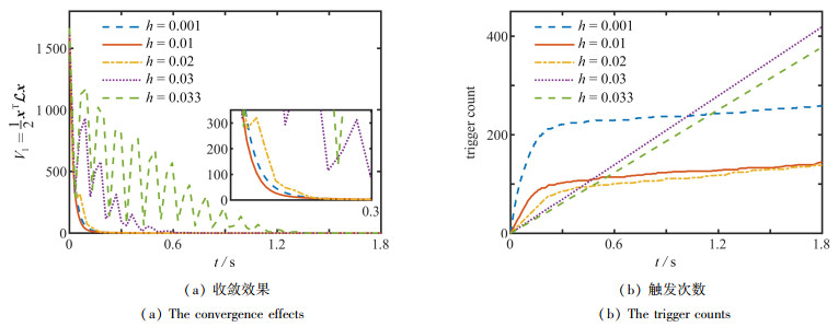
多智能体系统动态事件触发固定时间二分一致
周礼庆, 赵华荣, 彭力
2025, 46(11): 1440-1451. doi: 10.21656/1000-0887.450269
摘要(467) HTML (258) PDF(22)
摘要:
针对多智能体系统的通讯受限问题,研究了一种基于采样数据的固定时间动态事件触发二分一致性算法. 首先,设计了一种周期采样机制,以降低系统的通讯频率. 针对采样数据设计了一种基于辅助变量的动态事件触发控制算法,以进一步减小系统触发次数. 其次,为提高动态事件触发控制算法的收敛速度,研究了一种动态事件触发固定时间二分一致控制算法. 最后,利用Lyapunov稳定性理论、代数图论以及相关不等式,对所提控制协议稳定性进行了严格的理论证明,并通过仿真实验验证了算法的有效性.
应用数学
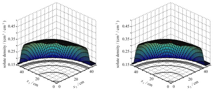
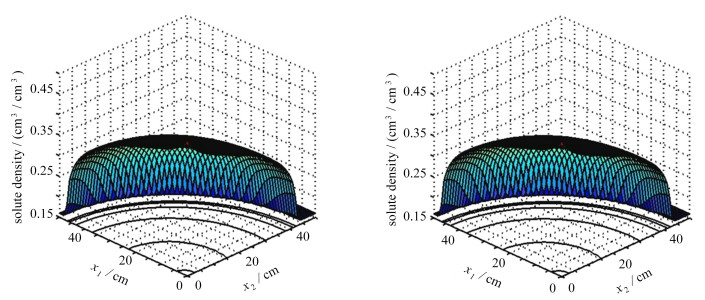
土壤水流中溶质输运的CN有限元解系数向量的降维方法
侯晓丽, 罗振东, 符辉
2025, 46(11): 1452-1463. doi: 10.21656/1000-0887.450226
摘要(305) HTML (177) PDF(15)
摘要:
利用特征投影分解(proper orthogonal decomposition, POD)方法建立土壤水流中溶质输运的一种很少未知量和精度足够高的Crank-Nicolson(CN)有限元解系数向量的降维外推仿真模型, 并分析这种降维外推仿真模型解的存在性和稳定性及误差. 用数值实验检验该模型的有效性和理论结果的正确性.
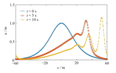
阻尼eKdV-Burgers方程的共形广义多辛Fourier拟谱算法
李骞, 王桂霞, 王一辰
2025, 46(11): 1464-1479. doi: 10.21656/1000-0887.450263
摘要(368) HTML (161) PDF(16)
摘要:
基于Hamilton共形广义多辛理论, 研究一类阻尼eKdV-Burgers方程的共形广义多辛Fourier拟谱格式的保结构算法. 首先, 通过引入中间变量, 将方程转化为满足局部守恒的共形广义多辛Hamilton系统, 并利用Strang分裂方法, 将其分裂为守恒子系统和耗散子系统. 进一步, 空间上利用Fourier拟谱方法, 时间上利用隐中点方法, 对该系统进行离散,得到共形广义多辛Fourier拟谱格式, 在周期边界条件下, 该格式满足全局共形质量守恒律和动量守恒律. 数值实例表明该算法是有效的, 能够保持系统质量和动量衰减特性.
一类时空分数阶伪抛物方程解的存在与爆破
陈业明, 李亚宁
2025, 46(11): 1480-1490. doi: 10.21656/1000-0887.450217
摘要(364) HTML (199) PDF(20)
摘要:
研究了非齐次项对一类时空分数阶伪抛物方程解的存在与爆破的影响. 首先,用不动点定理得到适度解的局部存在性,再运用检验函数法得到,在一定条件下方程的解有限时间爆破;最后,证明存在合适的初值和非齐次项使得方程的解全局存在. 该结论拓展了整数阶伪抛物方程对应的结果,同时,与非齐次项为0时的时空分数阶伪抛物方程对应的结论不同,说明了非齐次项对解的爆破和全局存在有一定的影响.
磁微极流方程组紧的拉回吸收集的存在性
田从洋, 孙文龙
2025, 46(11): 1491-1500. doi: 10.21656/1000-0887.450334
摘要(317) HTML (142) PDF(15)
摘要:
在二维有界区域上研究了磁微极流方程组的拉回动力学行为. 运用半群方法和ε-正则性方法, 结合Sobolev空间嵌入理论, 在不同条件下, 分别证明了空间$\hat{H}$和空间$\hat{V}$中紧的拉回吸收集的存在性.
封面及目录
封面及目录
2025, 46(11).
摘要(344) PDF(279)
摘要: